Table of Integrals

A. Dieckmann, Physikalisches Institut der Uni Bonn

IntegralsDefinite_1.png

IntegralsDefinite_2.png

This integral table contains hundreds of expressions: indefinite and definite integrals of elliptic integrals, of square roots, arcustangents and a few more exotic functions. Most of them are not found in Gradshteyn-Ryzhik.

IntegralsDefinite_3.gif

Sometimes m, n, k denote real parameters and are restricted mostly to 0 < {m, n, k} < 1, at times they represent natural numbers.

Results may be valid outside of the given region of parameters, but should always be checked numerically!

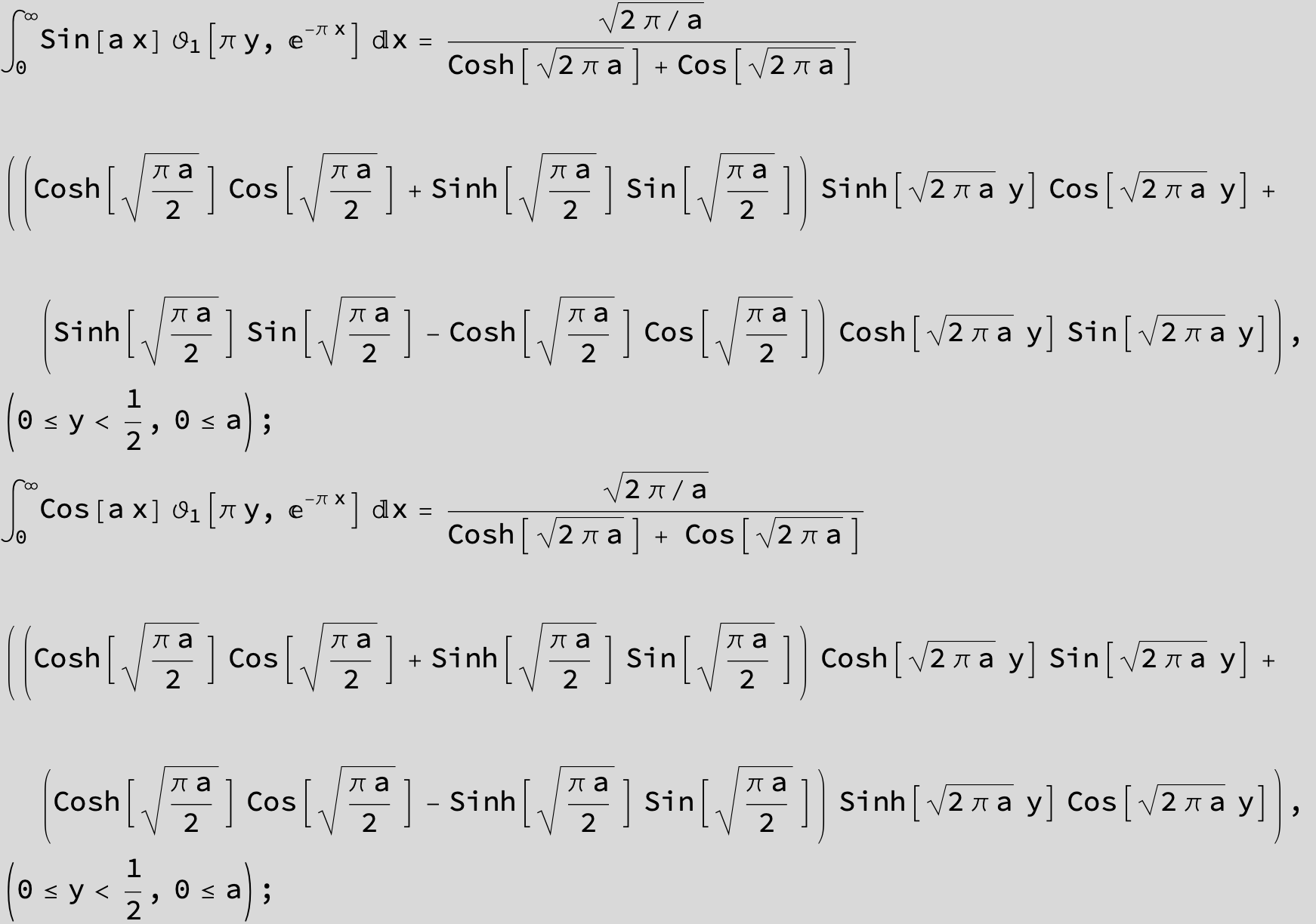
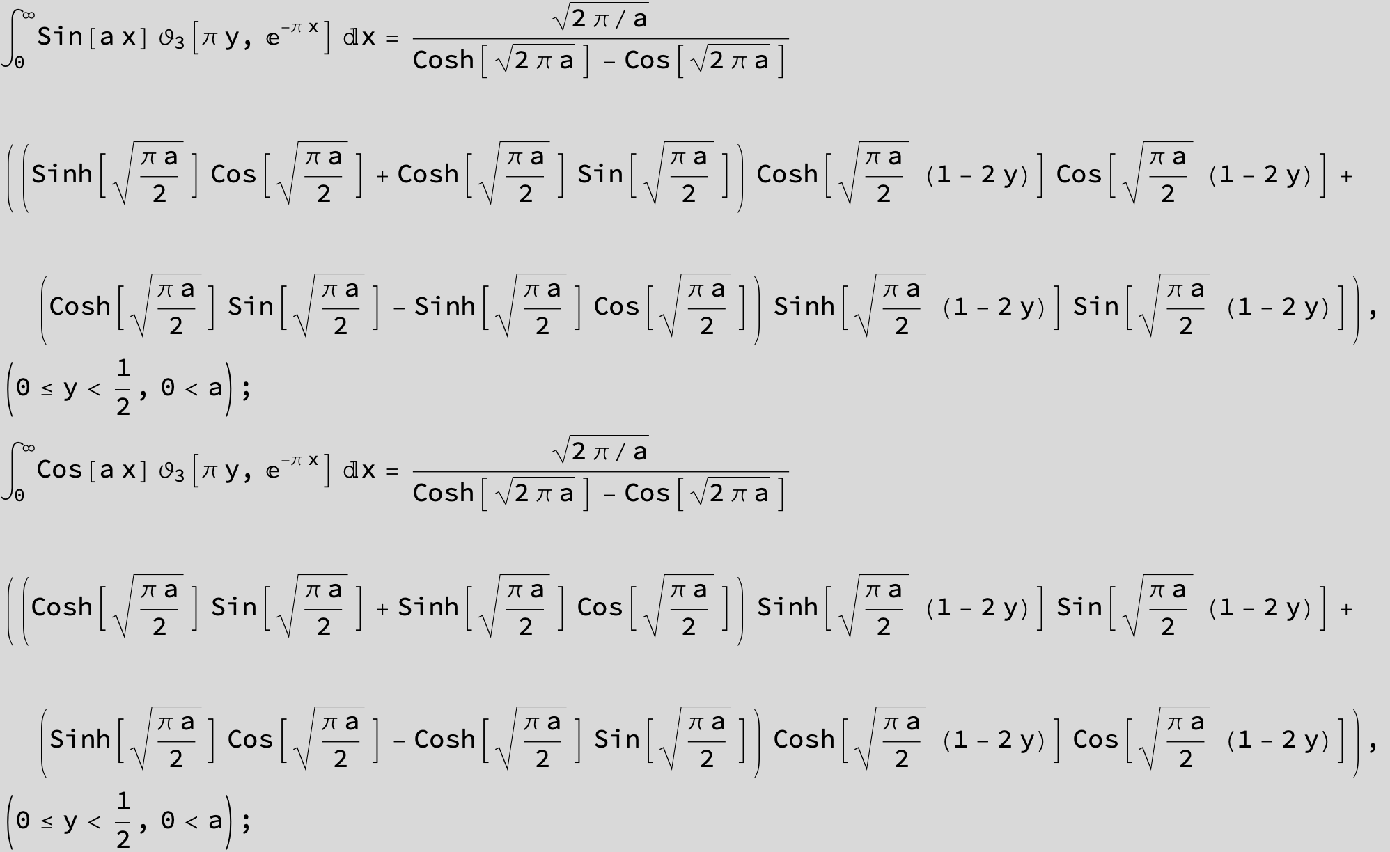
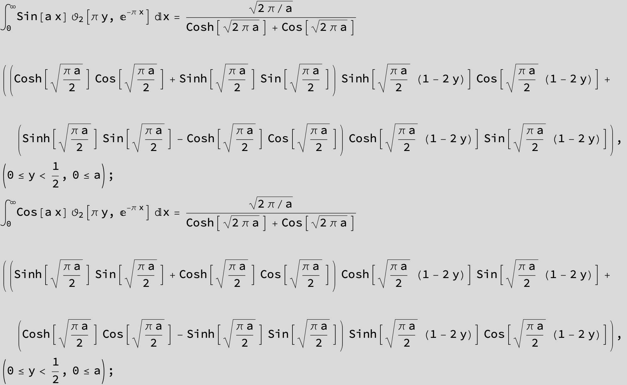
Definite Integrals:

Substitute   IntegralsDefinite_4.png   and the Feynman-Hibbs Integral can be calculated with Mathematica:

IntegralsDefinite_5.png

IntegralsDefinite_6.png

IntegralsDefinite_7.png

IntegralsDefinite_8.png

IntegralsDefinite_9.png

IntegralsDefinite_10.png

IntegralsDefinite_11.png

IntegralsDefinite_12.png

IntegralsDefinite_13.png

IntegralsDefinite_14.png

IntegralsDefinite_15.png

IntegralsDefinite_16.png

IntegralsDefinite_17.png

IntegralsDefinite_18.png

IntegralsDefinite_19.png

IntegralsDefinite_20.png

IntegralsDefinite_21.png

IntegralsDefinite_22.png

IntegralsDefinite_23.png

IntegralsDefinite_24.png

IntegralsDefinite_25.png

IntegralsDefinite_26.png

IntegralsDefinite_27.png

IntegralsDefinite_28.png

IntegralsDefinite_29.png

IntegralsDefinite_30.png

IntegralsDefinite_31.png

IntegralsDefinite_32.png

IntegralsDefinite_33.png

IntegralsDefinite_34.png

IntegralsDefinite_35.png

IntegralsDefinite_36.png

IntegralsDefinite_37.png

IntegralsDefinite_38.png

IntegralsDefinite_39.png

IntegralsDefinite_40.png

The expression below containing OwenT functions shows up as Common  Term

IntegralsDefinite_41.png

in the next six integrals combining Gauss- and Error functions with general linear arguments and integration range from Zero to Infinity :

IntegralsDefinite_42.png

(The integral above got cracked on my daughter' s birthday, so I call it Charlotte' s Integral .)

IntegralsDefinite_43.png

IntegralsDefinite_44.png

IntegralsDefinite_45.png

IntegralsDefinite_46.png

IntegralsDefinite_47.png

IntegralsDefinite_48.png

IntegralsDefinite_49.png

IntegralsDefinite_50.png

IntegralsDefinite_51.png

IntegralsDefinite_52.png

IntegralsDefinite_53.png

IntegralsDefinite_54.png

IntegralsDefinite_55.png

IntegralsDefinite_56.png

IntegralsDefinite_57.png

IntegralsDefinite_58.png

IntegralsDefinite_59.png

IntegralsDefinite_60.png

IntegralsDefinite_61.png

IntegralsDefinite_62.png

IntegralsDefinite_63.png

IntegralsDefinite_64.png

IntegralsDefinite_65.png

IntegralsDefinite_66.png

IntegralsDefinite_67.png

IntegralsDefinite_68.png

IntegralsDefinite_69.png

IntegralsDefinite_70.png

IntegralsDefinite_71.png

IntegralsDefinite_72.png

IntegralsDefinite_73.png

IntegralsDefinite_74.png

IntegralsDefinite_75.png

IntegralsDefinite_76.png

IntegralsDefinite_77.png

IntegralsDefinite_78.png

IntegralsDefinite_79.png

IntegralsDefinite_80.png

IntegralsDefinite_81.png

IntegralsDefinite_82.png

IntegralsDefinite_83.png

IntegralsDefinite_84.png

IntegralsDefinite_85.png

IntegralsDefinite_86.png

IntegralsDefinite_87.png

IntegralsDefinite_88.png

IntegralsDefinite_89.png

IntegralsDefinite_90.png

IntegralsDefinite_91.png

IntegralsDefinite_92.png

IntegralsDefinite_93.png

IntegralsDefinite_94.png

IntegralsDefinite_95.png

IntegralsDefinite_96.png

IntegralsDefinite_97.png

IntegralsDefinite_98.png

IntegralsDefinite_99.png

IntegralsDefinite_100.png

IntegralsDefinite_101.png

IntegralsDefinite_102.png

IntegralsDefinite_103.png

IntegralsDefinite_104.png

IntegralsDefinite_105.png

IntegralsDefinite_106.gif

IntegralsDefinite_107.png

IntegralsDefinite_108.png

IntegralsDefinite_109.png

IntegralsDefinite_110.png

IntegralsDefinite_111.png

IntegralsDefinite_112.png

IntegralsDefinite_113.png

IntegralsDefinite_114.png

IntegralsDefinite_115.png

IntegralsDefinite_116.png

IntegralsDefinite_117.png

IntegralsDefinite_118.png

IntegralsDefinite_119.png

IntegralsDefinite_120.png

IntegralsDefinite_121.png

IntegralsDefinite_122.png

IntegralsDefinite_123.png

IntegralsDefinite_124.png

IntegralsDefinite_125.png

IntegralsDefinite_126.png

IntegralsDefinite_127.png

IntegralsDefinite_128.png

IntegralsDefinite_129.png

IntegralsDefinite_130.png

IntegralsDefinite_131.png

IntegralsDefinite_132.png

IntegralsDefinite_133.png

IntegralsDefinite_134.png

IntegralsDefinite_135.png

IntegralsDefinite_136.png

IntegralsDefinite_137.png

IntegralsDefinite_138.png

IntegralsDefinite_139.png

IntegralsDefinite_140.png

IntegralsDefinite_141.png

IntegralsDefinite_142.png

IntegralsDefinite_143.png

IntegralsDefinite_144.png

IntegralsDefinite_145.png

IntegralsDefinite_146.png

IntegralsDefinite_147.png

IntegralsDefinite_148.png

IntegralsDefinite_149.png

IntegralsDefinite_150.png

To see a nice cancellation of singularities at work plot the next expression around c = negative Integer:

IntegralsDefinite_151.png

IntegralsDefinite_152.png

IntegralsDefinite_153.png

IntegralsDefinite_154.png

IntegralsDefinite_155.gif

IntegralsDefinite_156.png

IntegralsDefinite_157.png

IntegralsDefinite_158.png

IntegralsDefinite_159.png

IntegralsDefinite_160.png

IntegralsDefinite_161.png

IntegralsDefinite_162.png

IntegralsDefinite_163.png

IntegralsDefinite_164.png

IntegralsDefinite_165.png

IntegralsDefinite_166.png

IntegralsDefinite_167.png

IntegralsDefinite_168.png

IntegralsDefinite_169.png

IntegralsDefinite_170.png

IntegralsDefinite_171.png

IntegralsDefinite_172.png

IntegralsDefinite_173.png

IntegralsDefinite_174.png

this is a special case of the next integral below (m = -1 / 2).

IntegralsDefinite_175.png

IntegralsDefinite_176.png

IntegralsDefinite_177.png

IntegralsDefinite_178.png

IntegralsDefinite_179.png

IntegralsDefinite_180.png

IntegralsDefinite_181.png

IntegralsDefinite_182.png

IntegralsDefinite_183.png

IntegralsDefinite_184.png

IntegralsDefinite_185.png

IntegralsDefinite_186.png

IntegralsDefinite_187.png

IntegralsDefinite_188.png

IntegralsDefinite_189.png

IntegralsDefinite_190.png

IntegralsDefinite_191.png

IntegralsDefinite_192.png

IntegralsDefinite_193.png

IntegralsDefinite_194.png

IntegralsDefinite_195.png

IntegralsDefinite_196.png

IntegralsDefinite_197.png

IntegralsDefinite_198.png

IntegralsDefinite_199.png

IntegralsDefinite_200.png

IntegralsDefinite_201.png

IntegralsDefinite_202.png

IntegralsDefinite_203.png

IntegralsDefinite_204.png

IntegralsDefinite_205.png

IntegralsDefinite_206.png

IntegralsDefinite_207.png

IntegralsDefinite_208.png

IntegralsDefinite_209.png

IntegralsDefinite_210.png

IntegralsDefinite_211.png

IntegralsDefinite_212.png

IntegralsDefinite_213.png

IntegralsDefinite_214.png

IntegralsDefinite_215.png

IntegralsDefinite_216.png

IntegralsDefinite_217.png

IntegralsDefinite_218.png

IntegralsDefinite_219.png

IntegralsDefinite_220.png

IntegralsDefinite_221.png

IntegralsDefinite_222.png

IntegralsDefinite_223.png

IntegralsDefinite_224.png

IntegralsDefinite_225.png

IntegralsDefinite_226.png

IntegralsDefinite_227.png

IntegralsDefinite_228.png

IntegralsDefinite_229.png

IntegralsDefinite_230.png

IntegralsDefinite_231.png

IntegralsDefinite_232.png

IntegralsDefinite_233.png

IntegralsDefinite_234.png

IntegralsDefinite_235.png

IntegralsDefinite_236.png

IntegralsDefinite_237.png

IntegralsDefinite_238.png

IntegralsDefinite_239.png

IntegralsDefinite_240.png

IntegralsDefinite_241.png

IntegralsDefinite_242.png

IntegralsDefinite_243.png

IntegralsDefinite_244.png

IntegralsDefinite_245.png

IntegralsDefinite_246.png

IntegralsDefinite_247.png

IntegralsDefinite_248.png

IntegralsDefinite_249.png

IntegralsDefinite_250.png

IntegralsDefinite_251.png

IntegralsDefinite_252.png

IntegralsDefinite_253.png

IntegralsDefinite_254.png

IntegralsDefinite_255.png

IntegralsDefinite_256.png

IntegralsDefinite_257.png

IntegralsDefinite_258.png

IntegralsDefinite_259.png

IntegralsDefinite_260.png

IntegralsDefinite_261.png

IntegralsDefinite_262.png

IntegralsDefinite_263.png

IntegralsDefinite_264.png

IntegralsDefinite_265.png

IntegralsDefinite_266.png

IntegralsDefinite_267.png

IntegralsDefinite_268.png

IntegralsDefinite_269.png

IntegralsDefinite_270.png

IntegralsDefinite_271.png

IntegralsDefinite_272.png

IntegralsDefinite_273.png

IntegralsDefinite_274.png

IntegralsDefinite_275.png

IntegralsDefinite_276.png

IntegralsDefinite_277.png

IntegralsDefinite_278.png

IntegralsDefinite_279.png

IntegralsDefinite_280.png

IntegralsDefinite_281.png

IntegralsDefinite_282.gif

IntegralsDefinite_283.png

IntegralsDefinite_284.png

IntegralsDefinite_285.png

IntegralsDefinite_286.png

IntegralsDefinite_287.png

IntegralsDefinite_288.png

IntegralsDefinite_289.png

IntegralsDefinite_290.png

IntegralsDefinite_291.png

IntegralsDefinite_292.png

IntegralsDefinite_293.png

IntegralsDefinite_294.png

IntegralsDefinite_295.png

IntegralsDefinite_296.png

IntegralsDefinite_297.png

IntegralsDefinite_298.png

IntegralsDefinite_299.png

IntegralsDefinite_300.png

IntegralsDefinite_301.png

IntegralsDefinite_302.png

IntegralsDefinite_303.png

IntegralsDefinite_304.png

IntegralsDefinite_305.png

IntegralsDefinite_306.png

IntegralsDefinite_307.png

IntegralsDefinite_308.png

IntegralsDefinite_309.png

IntegralsDefinite_310.png

IntegralsDefinite_311.png

IntegralsDefinite_312.png

IntegralsDefinite_313.png

IntegralsDefinite_314.png

IntegralsDefinite_315.png

IntegralsDefinite_316.png

IntegralsDefinite_317.png

IntegralsDefinite_318.png

IntegralsDefinite_319.png

IntegralsDefinite_320.png

IntegralsDefinite_321.png

IntegralsDefinite_322.png

IntegralsDefinite_323.png

IntegralsDefinite_324.png

IntegralsDefinite_325.png

IntegralsDefinite_326.png

IntegralsDefinite_327.png

IntegralsDefinite_328.png

IntegralsDefinite_329.png

IntegralsDefinite_330.png

IntegralsDefinite_331.png

IntegralsDefinite_332.png

IntegralsDefinite_333.png

IntegralsDefinite_334.png

IntegralsDefinite_335.png

IntegralsDefinite_336.png

IntegralsDefinite_337.png

IntegralsDefinite_338.png

IntegralsDefinite_339.png

IntegralsDefinite_340.png

IntegralsDefinite_341.png

IntegralsDefinite_342.png

IntegralsDefinite_343.png

IntegralsDefinite_344.png

IntegralsDefinite_345.png

IntegralsDefinite_346.png

IntegralsDefinite_347.png

IntegralsDefinite_348.png

IntegralsDefinite_349.png

IntegralsDefinite_350.png

IntegralsDefinite_351.png

IntegralsDefinite_352.png

IntegralsDefinite_353.png

IntegralsDefinite_354.png

IntegralsDefinite_355.png

IntegralsDefinite_356.png

IntegralsDefinite_357.png

IntegralsDefinite_358.png

IntegralsDefinite_359.png

IntegralsDefinite_360.png

IntegralsDefinite_361.png

IntegralsDefinite_362.png

IntegralsDefinite_363.png

IntegralsDefinite_364.gif

IntegralsDefinite_365.png

IntegralsDefinite_366.png

IntegralsDefinite_367.png

IntegralsDefinite_368.png

IntegralsDefinite_369.png

Arclength of of a helix around a torus with major radius R, minor radius r and number of windings n :

IntegralsDefinite_370.png

IntegralsDefinite_371.png

IntegralsDefinite_372.png

IntegralsDefinite_373.png

IntegralsDefinite_374.png

IntegralsDefinite_375.png

IntegralsDefinite_376.png

IntegralsDefinite_377.png

IntegralsDefinite_378.png

IntegralsDefinite_379.png

IntegralsDefinite_380.png

IntegralsDefinite_381.png

IntegralsDefinite_382.png

IntegralsDefinite_383.png

IntegralsDefinite_384.png

IntegralsDefinite_385.png

IntegralsDefinite_386.gif

IntegralsDefinite_387.png

IntegralsDefinite_388.gif

IntegralsDefinite_389.png

IntegralsDefinite_390.png

IntegralsDefinite_391.png

IntegralsDefinite_392.png

IntegralsDefinite_393.png

IntegralsDefinite_394.png

IntegralsDefinite_395.png

IntegralsDefinite_396.png

IntegralsDefinite_397.png

IntegralsDefinite_398.png

IntegralsDefinite_399.png

IntegralsDefinite_400.png

IntegralsDefinite_401.png

IntegralsDefinite_402.png

IntegralsDefinite_403.png

IntegralsDefinite_404.png

IntegralsDefinite_405.png

IntegralsDefinite_406.png

IntegralsDefinite_407.png

IntegralsDefinite_408.png

IntegralsDefinite_409.png

IntegralsDefinite_410.png

IntegralsDefinite_411.png

IntegralsDefinite_412.png

IntegralsDefinite_413.png

IntegralsDefinite_414.png

--  4 IntegralsDefinite_415.png times the above integral gives the circumference of Cassini' s curve  --

IntegralsDefinite_416.png

IntegralsDefinite_417.png

IntegralsDefinite_418.png

IntegralsDefinite_419.png

IntegralsDefinite_420.png

IntegralsDefinite_421.png

IntegralsDefinite_422.png

IntegralsDefinite_423.png

IntegralsDefinite_424.png

IntegralsDefinite_425.png

IntegralsDefinite_426.png

IntegralsDefinite_427.png

IntegralsDefinite_428.png

IntegralsDefinite_429.png

IntegralsDefinite_430.png

IntegralsDefinite_431.gif

IntegralsDefinite_432.png

IntegralsDefinite_433.png

IntegralsDefinite_434.png

IntegralsDefinite_435.png

IntegralsDefinite_436.png

IntegralsDefinite_437.png

IntegralsDefinite_438.png

IntegralsDefinite_439.png

IntegralsDefinite_440.png

IntegralsDefinite_441.png

IntegralsDefinite_442.png

IntegralsDefinite_443.png

IntegralsDefinite_444.png

IntegralsDefinite_445.png

IntegralsDefinite_446.png

IntegralsDefinite_447.png

IntegralsDefinite_448.png

IntegralsDefinite_449.png

IntegralsDefinite_450.png

IntegralsDefinite_451.png

IntegralsDefinite_452.png

IntegralsDefinite_453.png

IntegralsDefinite_454.png

IntegralsDefinite_455.png

IntegralsDefinite_456.png

IntegralsDefinite_457.png

IntegralsDefinite_458.png

IntegralsDefinite_459.png

IntegralsDefinite_460.png

IntegralsDefinite_461.png

IntegralsDefinite_462.png

IntegralsDefinite_463.png

IntegralsDefinite_464.png

IntegralsDefinite_465.png

IntegralsDefinite_466.png

IntegralsDefinite_467.png

IntegralsDefinite_468.png

IntegralsDefinite_469.png

IntegralsDefinite_470.png

IntegralsDefinite_471.png

IntegralsDefinite_472.png

IntegralsDefinite_473.png

IntegralsDefinite_474.png

IntegralsDefinite_475.png

IntegralsDefinite_476.png

IntegralsDefinite_477.png

IntegralsDefinite_478.png

IntegralsDefinite_479.png

IntegralsDefinite_480.png

IntegralsDefinite_481.png

IntegralsDefinite_482.png

IntegralsDefinite_483.png

IntegralsDefinite_484.png

IntegralsDefinite_485.png

IntegralsDefinite_486.png

IntegralsDefinite_487.png

IntegralsDefinite_488.png

IntegralsDefinite_489.png

IntegralsDefinite_490.png

IntegralsDefinite_491.png

IntegralsDefinite_492.png

IntegralsDefinite_493.png

IntegralsDefinite_494.png

IntegralsDefinite_495.png

IntegralsDefinite_496.png

IntegralsDefinite_497.png

IntegralsDefinite_498.png

IntegralsDefinite_499.png

IntegralsDefinite_500.png

IntegralsDefinite_501.png

IntegralsDefinite_502.png

IntegralsDefinite_503.png

IntegralsDefinite_504.png

IntegralsDefinite_505.png

IntegralsDefinite_506.png

IntegralsDefinite_507.png

IntegralsDefinite_508.png

IntegralsDefinite_509.png

IntegralsDefinite_510.png

IntegralsDefinite_511.png

IntegralsDefinite_512.png

IntegralsDefinite_513.png

IntegralsDefinite_514.png

IntegralsDefinite_515.png

IntegralsDefinite_516.png

IntegralsDefinite_517.png

IntegralsDefinite_518.png

IntegralsDefinite_519.png

IntegralsDefinite_520.png

IntegralsDefinite_521.png

IntegralsDefinite_522.png

IntegralsDefinite_523.png

IntegralsDefinite_524.png

IntegralsDefinite_525.png

IntegralsDefinite_526.png

IntegralsDefinite_527.png

IntegralsDefinite_528.png

IntegralsDefinite_529.png

IntegralsDefinite_530.png

IntegralsDefinite_531.png

IntegralsDefinite_532.png

IntegralsDefinite_533.png

IntegralsDefinite_534.png

IntegralsDefinite_535.png

IntegralsDefinite_536.png

IntegralsDefinite_537.png

IntegralsDefinite_538.png

IntegralsDefinite_539.png

IntegralsDefinite_540.png

IntegralsDefinite_541.png

IntegralsDefinite_542.png

IntegralsDefinite_543.png

IntegralsDefinite_544.png

IntegralsDefinite_545.png

IntegralsDefinite_546.png

IntegralsDefinite_547.png

IntegralsDefinite_548.png

IntegralsDefinite_549.png

IntegralsDefinite_550.png

IntegralsDefinite_551.png

IntegralsDefinite_552.png

IntegralsDefinite_553.png

IntegralsDefinite_554.png

IntegralsDefinite_555.png

IntegralsDefinite_556.png

IntegralsDefinite_557.png

IntegralsDefinite_558.png

IntegralsDefinite_559.png

IntegralsDefinite_560.png

IntegralsDefinite_561.png

IntegralsDefinite_562.png

IntegralsDefinite_563.png

IntegralsDefinite_564.png

IntegralsDefinite_565.png

IntegralsDefinite_566.png

IntegralsDefinite_567.png

IntegralsDefinite_568.png

IntegralsDefinite_569.png

IntegralsDefinite_570.png

IntegralsDefinite_571.png

IntegralsDefinite_572.png

IntegralsDefinite_573.png

IntegralsDefinite_574.png

IntegralsDefinite_575.png

IntegralsDefinite_576.png

IntegralsDefinite_577.png

IntegralsDefinite_578.png

IntegralsDefinite_579.png

IntegralsDefinite_580.png

IntegralsDefinite_581.png

IntegralsDefinite_582.png

IntegralsDefinite_583.png

IntegralsDefinite_584.png

IntegralsDefinite_585.png

IntegralsDefinite_586.png

IntegralsDefinite_587.png

IntegralsDefinite_588.png

IntegralsDefinite_589.png

IntegralsDefinite_590.png

IntegralsDefinite_591.png

IntegralsDefinite_592.png

IntegralsDefinite_593.png

IntegralsDefinite_594.gif

IntegralsDefinite_595.png

IntegralsDefinite_596.png

IntegralsDefinite_597.png

IntegralsDefinite_598.png

IntegralsDefinite_599.png

IntegralsDefinite_600.png

IntegralsDefinite_601.png

IntegralsDefinite_602.png

IntegralsDefinite_603.png

IntegralsDefinite_604.png

IntegralsDefinite_605.png

IntegralsDefinite_606.png

IntegralsDefinite_607.png

IntegralsDefinite_608.png

IntegralsDefinite_609.png

IntegralsDefinite_610.png

IntegralsDefinite_611.png

IntegralsDefinite_612.png

IntegralsDefinite_613.png

IntegralsDefinite_614.png

IntegralsDefinite_615.png

IntegralsDefinite_616.png

IntegralsDefinite_617.png

IntegralsDefinite_618.png

IntegralsDefinite_619.png

IntegralsDefinite_620.png

IntegralsDefinite_621.png

IntegralsDefinite_622.png

IntegralsDefinite_623.png

IntegralsDefinite_624.png

IntegralsDefinite_625.png

IntegralsDefinite_626.png

IntegralsDefinite_627.png

IntegralsDefinite_628.png

IntegralsDefinite_629.png

IntegralsDefinite_630.png

IntegralsDefinite_631.png

IntegralsDefinite_632.png

IntegralsDefinite_633.png

IntegralsDefinite_634.png

IntegralsDefinite_635.png

IntegralsDefinite_636.png

IntegralsDefinite_637.png

IntegralsDefinite_638.png

IntegralsDefinite_639.png

IntegralsDefinite_640.png

IntegralsDefinite_641.png

IntegralsDefinite_642.png

IntegralsDefinite_643.png

IntegralsDefinite_644.png

IntegralsDefinite_645.png

IntegralsDefinite_646.png

IntegralsDefinite_647.png

IntegralsDefinite_648.png

IntegralsDefinite_649.png

IntegralsDefinite_650.png

IntegralsDefinite_651.png

IntegralsDefinite_652.png

IntegralsDefinite_653.png

IntegralsDefinite_654.png

IntegralsDefinite_655.png

IntegralsDefinite_656.png

IntegralsDefinite_657.png

IntegralsDefinite_658.png

IntegralsDefinite_659.png

IntegralsDefinite_660.png

IntegralsDefinite_661.png

IntegralsDefinite_662.png

IntegralsDefinite_663.png

IntegralsDefinite_664.png

IntegralsDefinite_665.png

IntegralsDefinite_666.png

IntegralsDefinite_667.png

IntegralsDefinite_668.png

IntegralsDefinite_669.png

IntegralsDefinite_670.png

IntegralsDefinite_671.png

IntegralsDefinite_672.png

IntegralsDefinite_673.png

IntegralsDefinite_674.gif

IntegralsDefinite_675.png

IntegralsDefinite_676.png

IntegralsDefinite_677.png

IntegralsDefinite_678.png

IntegralsDefinite_679.png

IntegralsDefinite_680.png

IntegralsDefinite_681.png

IntegralsDefinite_682.png

IntegralsDefinite_683.png

IntegralsDefinite_684.png

in the following expressions (∫ f(x)/(a x^2 + b x + c ) dx)   we abbreviate  s = IntegralsDefinite_685.png:

IntegralsDefinite_686.png

IntegralsDefinite_687.png

IntegralsDefinite_688.png

the values at integer n can be found approximately by setting n near to an integer IntegralsDefinite_689.png.

IntegralsDefinite_690.png

IntegralsDefinite_691.png

IntegralsDefinite_692.png

IntegralsDefinite_693.png

IntegralsDefinite_694.png

IntegralsDefinite_695.png

IntegralsDefinite_696.png

IntegralsDefinite_697.png

IntegralsDefinite_698.png

IntegralsDefinite_699.png

IntegralsDefinite_700.png

IntegralsDefinite_701.png

IntegralsDefinite_702.png

IntegralsDefinite_703.png

IntegralsDefinite_704.png

IntegralsDefinite_705.png

IntegralsDefinite_706.png

IntegralsDefinite_707.png

IntegralsDefinite_708.png

IntegralsDefinite_709.png

IntegralsDefinite_710.png

IntegralsDefinite_711.png

IntegralsDefinite_712.png

IntegralsDefinite_713.png

in the following expressions (∫ f(x)/(a x^4 + b x^2 + c ) dx)   we abbreviate s = IntegralsDefinite_714.png:

IntegralsDefinite_715.png

IntegralsDefinite_716.png

IntegralsDefinite_717.png

IntegralsDefinite_718.png

IntegralsDefinite_719.png

IntegralsDefinite_720.png

IntegralsDefinite_721.png

IntegralsDefinite_722.png

IntegralsDefinite_723.png

IntegralsDefinite_724.png

IntegralsDefinite_725.png

IntegralsDefinite_726.png

IntegralsDefinite_727.png

IntegralsDefinite_728.png

IntegralsDefinite_729.png

IntegralsDefinite_730.png

IntegralsDefinite_731.png

IntegralsDefinite_732.png

IntegralsDefinite_733.png

IntegralsDefinite_734.png

IntegralsDefinite_735.png

IntegralsDefinite_736.png

IntegralsDefinite_737.png

IntegralsDefinite_738.png

IntegralsDefinite_739.png

IntegralsDefinite_740.png

IntegralsDefinite_741.png

IntegralsDefinite_742.png

IntegralsDefinite_743.png

IntegralsDefinite_744.png

IntegralsDefinite_745.png

IntegralsDefinite_746.png

IntegralsDefinite_747.png

IntegralsDefinite_748.png

IntegralsDefinite_749.png

IntegralsDefinite_750.png

IntegralsDefinite_751.png

IntegralsDefinite_752.png

IntegralsDefinite_753.png

IntegralsDefinite_754.png

IntegralsDefinite_755.png

IntegralsDefinite_756.png

IntegralsDefinite_757.png

IntegralsDefinite_758.png

IntegralsDefinite_759.png

IntegralsDefinite_760.png

IntegralsDefinite_761.png

IntegralsDefinite_762.png

IntegralsDefinite_763.png

IntegralsDefinite_764.png

IntegralsDefinite_765.png

IntegralsDefinite_766.png

IntegralsDefinite_767.png

IntegralsDefinite_768.png

IntegralsDefinite_769.png

IntegralsDefinite_770.png

IntegralsDefinite_771.png

IntegralsDefinite_772.png

IntegralsDefinite_773.png

IntegralsDefinite_774.png

IntegralsDefinite_775.png

IntegralsDefinite_776.png

IntegralsDefinite_777.png

IntegralsDefinite_778.png

IntegralsDefinite_779.png

IntegralsDefinite_780.png

IntegralsDefinite_781.png

IntegralsDefinite_782.png

IntegralsDefinite_783.png

IntegralsDefinite_784.png

IntegralsDefinite_785.png

IntegralsDefinite_786.png

IntegralsDefinite_787.png

IntegralsDefinite_788.png

IntegralsDefinite_789.png

IntegralsDefinite_790.png

IntegralsDefinite_791.png

IntegralsDefinite_792.png

IntegralsDefinite_793.png

IntegralsDefinite_794.png

IntegralsDefinite_795.png

IntegralsDefinite_796.png

IntegralsDefinite_797.png

IntegralsDefinite_798.png

IntegralsDefinite_799.png

IntegralsDefinite_800.png

IntegralsDefinite_801.png

IntegralsDefinite_802.png

IntegralsDefinite_803.png

IntegralsDefinite_804.png

IntegralsDefinite_805.png

IntegralsDefinite_806.png

IntegralsDefinite_807.png

IntegralsDefinite_808.png

IntegralsDefinite_809.png

IntegralsDefinite_810.png

IntegralsDefinite_811.png

IntegralsDefinite_812.png

IntegralsDefinite_813.png

IntegralsDefinite_814.png

IntegralsDefinite_815.png

IntegralsDefinite_816.png

IntegralsDefinite_817.png

IntegralsDefinite_818.png

IntegralsDefinite_819.png

IntegralsDefinite_820.png

IntegralsDefinite_821.png

IntegralsDefinite_822.png

IntegralsDefinite_823.png

IntegralsDefinite_824.gif

IntegralsDefinite_825.png

IntegralsDefinite_826.png

IntegralsDefinite_827.png

IntegralsDefinite_828.png

IntegralsDefinite_829.png

IntegralsDefinite_830.png

IntegralsDefinite_831.png

IntegralsDefinite_832.png

IntegralsDefinite_833.png

IntegralsDefinite_834.png

IntegralsDefinite_835.png

IntegralsDefinite_836.png

IntegralsDefinite_837.png

IntegralsDefinite_838.png

IntegralsDefinite_839.png

IntegralsDefinite_840.png

IntegralsDefinite_841.png

IntegralsDefinite_842.png

IntegralsDefinite_843.png

IntegralsDefinite_844.png

IntegralsDefinite_845.png

IntegralsDefinite_846.png

IntegralsDefinite_847.png

IntegralsDefinite_848.png

IntegralsDefinite_849.png

IntegralsDefinite_850.png

IntegralsDefinite_851.png

IntegralsDefinite_852.png

IntegralsDefinite_853.png

IntegralsDefinite_854.png

IntegralsDefinite_855.png

IntegralsDefinite_856.png

IntegralsDefinite_857.png

IntegralsDefinite_858.png

IntegralsDefinite_859.png

IntegralsDefinite_860.png

IntegralsDefinite_861.png

IntegralsDefinite_862.png

IntegralsDefinite_863.png

IntegralsDefinite_864.png

IntegralsDefinite_865.png

IntegralsDefinite_866.png

IntegralsDefinite_867.png

IntegralsDefinite_868.png

IntegralsDefinite_869.png

IntegralsDefinite_870.gif

IntegralsDefinite_871.png

IntegralsDefinite_872.png

IntegralsDefinite_873.png

IntegralsDefinite_874.png

IntegralsDefinite_875.png

IntegralsDefinite_876.png

IntegralsDefinite_877.png

IntegralsDefinite_878.png

IntegralsDefinite_879.png

IntegralsDefinite_880.png

IntegralsDefinite_881.png

IntegralsDefinite_882.png

IntegralsDefinite_883.png

IntegralsDefinite_884.png

IntegralsDefinite_885.gif

IntegralsDefinite_886.png

IntegralsDefinite_887.png

IntegralsDefinite_888.png

IntegralsDefinite_889.png

IntegralsDefinite_890.png

IntegralsDefinite_891.png

IntegralsDefinite_892.png

IntegralsDefinite_893.png

IntegralsDefinite_894.png

IntegralsDefinite_895.png

IntegralsDefinite_896.png

IntegralsDefinite_897.png

IntegralsDefinite_898.png

IntegralsDefinite_899.png

IntegralsDefinite_900.png

IntegralsDefinite_901.png

IntegralsDefinite_902.png

IntegralsDefinite_903.png

IntegralsDefinite_904.png

IntegralsDefinite_905.png

IntegralsDefinite_906.png

IntegralsDefinite_907.png

IntegralsDefinite_908.png

IntegralsDefinite_909.png

IntegralsDefinite_910.png

IntegralsDefinite_911.png

IntegralsDefinite_912.png

IntegralsDefinite_913.png

IntegralsDefinite_914.png

IntegralsDefinite_915.png

IntegralsDefinite_916.png

IntegralsDefinite_917.png

IntegralsDefinite_918.png

IntegralsDefinite_919.png

IntegralsDefinite_920.png

IntegralsDefinite_921.png

IntegralsDefinite_922.png

IntegralsDefinite_923.png

IntegralsDefinite_924.png

IntegralsDefinite_925.png

IntegralsDefinite_926.png

IntegralsDefinite_927.png

IntegralsDefinite_928.png

IntegralsDefinite_929.png

IntegralsDefinite_930.png

IntegralsDefinite_931.png

IntegralsDefinite_932.png

IntegralsDefinite_933.png

IntegralsDefinite_934.png

IntegralsDefinite_935.png

IntegralsDefinite_936.png

IntegralsDefinite_937.png

IntegralsDefinite_938.png

IntegralsDefinite_939.png

IntegralsDefinite_940.png

IntegralsDefinite_941.png

IntegralsDefinite_942.png

IntegralsDefinite_943.png

IntegralsDefinite_944.png

IntegralsDefinite_945.png

IntegralsDefinite_946.png

IntegralsDefinite_947.png

IntegralsDefinite_948.png

IntegralsDefinite_949.png

IntegralsDefinite_950.png

IntegralsDefinite_951.png

IntegralsDefinite_952.png

IntegralsDefinite_953.png

IntegralsDefinite_954.png

IntegralsDefinite_955.png

IntegralsDefinite_956.png

IntegralsDefinite_957.png

IntegralsDefinite_958.png

IntegralsDefinite_959.png

IntegralsDefinite_960.png

IntegralsDefinite_961.png

IntegralsDefinite_962.png

IntegralsDefinite_963.png

IntegralsDefinite_964.png

IntegralsDefinite_965.png

IntegralsDefinite_966.png

IntegralsDefinite_967.png

IntegralsDefinite_968.png

IntegralsDefinite_969.png

IntegralsDefinite_970.png

IntegralsDefinite_971.png

IntegralsDefinite_972.png

IntegralsDefinite_973.png

IntegralsDefinite_974.png

IntegralsDefinite_975.png

IntegralsDefinite_976.png

IntegralsDefinite_977.png

IntegralsDefinite_978.png

IntegralsDefinite_979.png

IntegralsDefinite_980.png

IntegralsDefinite_981.png

IntegralsDefinite_982.png

IntegralsDefinite_983.png

IntegralsDefinite_984.png

IntegralsDefinite_985.png

IntegralsDefinite_986.png

IntegralsDefinite_987.png

IntegralsDefinite_988.png

IntegralsDefinite_989.png

IntegralsDefinite_990.png

IntegralsDefinite_991.png

IntegralsDefinite_992.png

IntegralsDefinite_993.png

IntegralsDefinite_994.png

IntegralsDefinite_995.png

IntegralsDefinite_996.png

IntegralsDefinite_997.png

IntegralsDefinite_998.png

IntegralsDefinite_999.png

IntegralsDefinite_1000.png

IntegralsDefinite_1001.png

IntegralsDefinite_1002.png

IntegralsDefinite_1003.png

IntegralsDefinite_1004.png

IntegralsDefinite_1005.png

IntegralsDefinite_1006.png

IntegralsDefinite_1007.png

IntegralsDefinite_1008.png

IntegralsDefinite_1009.png

IntegralsDefinite_1010.png

IntegralsDefinite_1011.png

IntegralsDefinite_1012.png

IntegralsDefinite_1013.png

IntegralsDefinite_1014.png

IntegralsDefinite_1015.png

IntegralsDefinite_1016.png

IntegralsDefinite_1017.png

IntegralsDefinite_1018.png

IntegralsDefinite_1019.png

IntegralsDefinite_1020.png

IntegralsDefinite_1021.png

IntegralsDefinite_1022.png

IntegralsDefinite_1023.png

IntegralsDefinite_1024.png

IntegralsDefinite_1025.png

IntegralsDefinite_1026.png

IntegralsDefinite_1027.png

IntegralsDefinite_1028.png

IntegralsDefinite_1029.png

IntegralsDefinite_1030.png

IntegralsDefinite_1031.png

IntegralsDefinite_1032.png

IntegralsDefinite_1033.png

IntegralsDefinite_1034.png

IntegralsDefinite_1035.png

IntegralsDefinite_1036.png

IntegralsDefinite_1037.png

IntegralsDefinite_1038.png

IntegralsDefinite_1039.png

IntegralsDefinite_1040.png

IntegralsDefinite_1041.png

IntegralsDefinite_1042.png

IntegralsDefinite_1043.png

IntegralsDefinite_1044.png

IntegralsDefinite_1045.png

IntegralsDefinite_1046.png

IntegralsDefinite_1047.png

IntegralsDefinite_1048.png

IntegralsDefinite_1049.png

IntegralsDefinite_1050.png

IntegralsDefinite_1051.png

IntegralsDefinite_1052.png

IntegralsDefinite_1053.png

IntegralsDefinite_1054.png

IntegralsDefinite_1055.png

IntegralsDefinite_1056.png

IntegralsDefinite_1057.png

IntegralsDefinite_1058.png

IntegralsDefinite_1059.png

IntegralsDefinite_1060.png

IntegralsDefinite_1061.png

IntegralsDefinite_1062.png

IntegralsDefinite_1063.png

IntegralsDefinite_1064.png

Master formula of Boros and Moll:

IntegralsDefinite_1065.png

IntegralsDefinite_1066.png

IntegralsDefinite_1067.png

IntegralsDefinite_1068.gif

IntegralsDefinite_1069.png

IntegralsDefinite_1070.png

IntegralsDefinite_1071.png

Here the result is a threefold sum shown in Mathematica syntax:
KSubsets[aList, k] is in Package DiscreteMath`Combinatorica` and gives a list of all subsets with k elements of aList .
For n=3 the sum is IntegralsDefinite_1072.png.
<<DiscreteMath`Combinatorica`

IntegralsDefinite_1073.png

IntegralsDefinite_1074.png

IntegralsDefinite_1075.png

IntegralsDefinite_1076.png

IntegralsDefinite_1077.png

IntegralsDefinite_1078.gif

IntegralsDefinite_1079.png

IntegralsDefinite_1080.png

IntegralsDefinite_1081.png

IntegralsDefinite_1082.png

IntegralsDefinite_1083.png

IntegralsDefinite_1084.png

IntegralsDefinite_1085.png

IntegralsDefinite_1086.png

IntegralsDefinite_1087.png

IntegralsDefinite_1088.png

IntegralsDefinite_1089.png

IntegralsDefinite_1090.png

IntegralsDefinite_1091.png

IntegralsDefinite_1092.png

IntegralsDefinite_1093.png

IntegralsDefinite_1094.png

IntegralsDefinite_1095.png

IntegralsDefinite_1096.png

IntegralsDefinite_1097.png

IntegralsDefinite_1098.png

IntegralsDefinite_1099.png

IntegralsDefinite_1100.png

IntegralsDefinite_1101.png

IntegralsDefinite_1102.gif

IntegralsDefinite_1103.gif

IntegralsDefinite_1104.gif

IntegralsDefinite_1105.gif

IntegralsDefinite_1106.png

IntegralsDefinite_1107.png

IntegralsDefinite_1108.png

IntegralsDefinite_1109.png

IntegralsDefinite_1110.gif

IntegralsDefinite_1111.png

IntegralsDefinite_1112.gif

IntegralsDefinite_1113.png

IntegralsDefinite_1114.png

IntegralsDefinite_1115.png

IntegralsDefinite_1116.png

IntegralsDefinite_1117.png

IntegralsDefinite_1118.png

IntegralsDefinite_1119.png

IntegralsDefinite_1120.png

IntegralsDefinite_1121.png

IntegralsDefinite_1122.png

IntegralsDefinite_1123.png

IntegralsDefinite_1124.png

IntegralsDefinite_1125.png

IntegralsDefinite_1126.png

IntegralsDefinite_1127.png

IntegralsDefinite_1128.png

IntegralsDefinite_1129.png

IntegralsDefinite_1130.png

IntegralsDefinite_1131.png

IntegralsDefinite_1132.png

IntegralsDefinite_1133.png

IntegralsDefinite_1134.png

IntegralsDefinite_1135.png

IntegralsDefinite_1136.png

IntegralsDefinite_1137.png

IntegralsDefinite_1138.png

IntegralsDefinite_1139.png

IntegralsDefinite_1140.png

IntegralsDefinite_1141.png

IntegralsDefinite_1142.png

IntegralsDefinite_1143.png

IntegralsDefinite_1144.png

IntegralsDefinite_1145.png

IntegralsDefinite_1146.png

IntegralsDefinite_1147.png

IntegralsDefinite_1148.png

IntegralsDefinite_1149.png

IntegralsDefinite_1150.png

IntegralsDefinite_1151.png

IntegralsDefinite_1152.png

IntegralsDefinite_1153.png

IntegralsDefinite_1154.png

IntegralsDefinite_1155.png

IntegralsDefinite_1156.png

IntegralsDefinite_1157.png

IntegralsDefinite_1158.png

IntegralsDefinite_1159.png

IntegralsDefinite_1160.png

IntegralsDefinite_1161.png

IntegralsDefinite_1162.png

IntegralsDefinite_1163.png

IntegralsDefinite_1164.png

IntegralsDefinite_1165.gif

IntegralsDefinite_1166.png

IntegralsDefinite_1167.png

IntegralsDefinite_1168.png

IntegralsDefinite_1169.png

IntegralsDefinite_1170.png

IntegralsDefinite_1171.png

IntegralsDefinite_1172.png

IntegralsDefinite_1173.png

IntegralsDefinite_1174.png

IntegralsDefinite_1175.png

IntegralsDefinite_1176.png

IntegralsDefinite_1177.png

IntegralsDefinite_1178.png

IntegralsDefinite_1179.png

IntegralsDefinite_1180.png

IntegralsDefinite_1181.png

IntegralsDefinite_1182.png

IntegralsDefinite_1183.png

IntegralsDefinite_1184.png

IntegralsDefinite_1185.png

IntegralsDefinite_1186.gif

use  Γ[1 - t] Γ[t] = π Csc[π t]

IntegralsDefinite_1187.png

IntegralsDefinite_1188.png

IntegralsDefinite_1189.png

IntegralsDefinite_1190.png

IntegralsDefinite_1191.png

Created with the Wolfram Language      Download Page    Indefinite Integrals     Products and Series