Collection of Infinite Products and Series

   Dr. Andreas Dieckmann, Physikalisches Institut der Uni Bonn

InfProd_1.png

InfProd_2.png

My interest in infinite products has its origin in the year 2000 in connection with the problem of the electrical field of a
line charge trapped inside a rectangular tube. After I learned that the double product can be solved using
elliptic theta functions I was hooked. The site has been growing ever since, and its focus has been expanded
to include Series as well.

These pages list thousands of expressions like products, sums, relations and limits shown in the following sections:

-  Infinite Products

-  Products involving Theta Functions

-  Other formulae and curiosities including sums of hyperbolic and inverse tangent (arctan) functions and q - series

-  q Series

-  special values of EllipticK and EllipticE

-  Series of Hyperbolic Functions

-  Series of CosIntegral

-  Sums involving reciprocal multifactorials or factorials

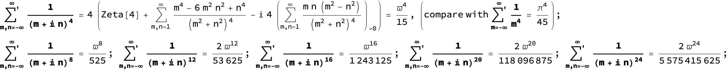
-  Multiple Sums (lattice sums)

-  diverse Series

-  Series of Logarithms

-  Series of Inverse Tangents ( Arcustangent )

-  Series of Bessel Functions

-  Series of Legendre Polynomials

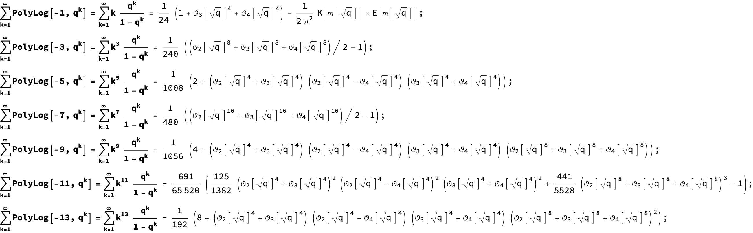
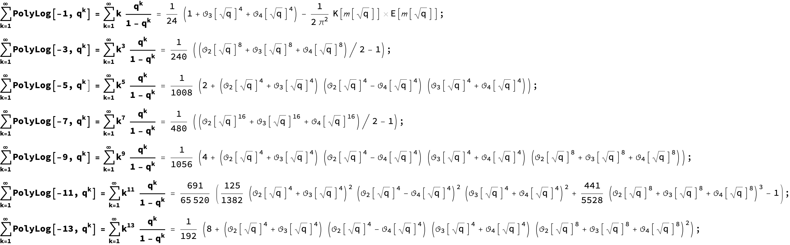
-  Series of Zeta PolyGamma PolyLog and related

-  Series of Beta Functions

-  Series of Gamma Functions

-  Series involving HarmonicNumber

-  Series involving Hypergeometric Functions

-  some Limits

-  a few Integrals

-  iterated expressions ( Tetration )

-  some properties of ProductLog LerchPhi and PolyLog

{j, n, m} are Integer; {λ, q} > 0 and r are real; {z, InfProd_3.png, InfProd_4.png, InfProd_5.png, InfProd_6.png} may be complex; Γ[a] is  Gamma[a];
InfProd_7.png], InfProd_8.png] are shorthands for the Elliptic Integrals, Φ stands for the GoldenRatio,
sl[x]  cl[x] and ϖ (CurlyPi) denote the lemniscate functions and constant InfProd_9.png;
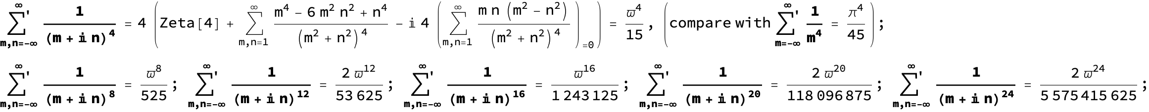
the notation Σ’ means that the divergent term in multiple sums is excluded.
N represents the natural numbers,  InfProd_10.png including zero,  Z designates all integers.
There are  products that possess pointlike poles, where the denominator of a factor gets zero for certain
values of z. The given domains may not be complete. Variables may in many cases be replaced by functions
with corresponding domains  ( x → f[x] ). Some of the expressions are well known,
others may be not; some were found in the depths of the world wide web, the first are derived
from the first product below.

any formula you decide to use should be numerically tested for validity in the users domain  ←

Expressions communicated by other people are marked with (R#) and are referenced below at the bottom.

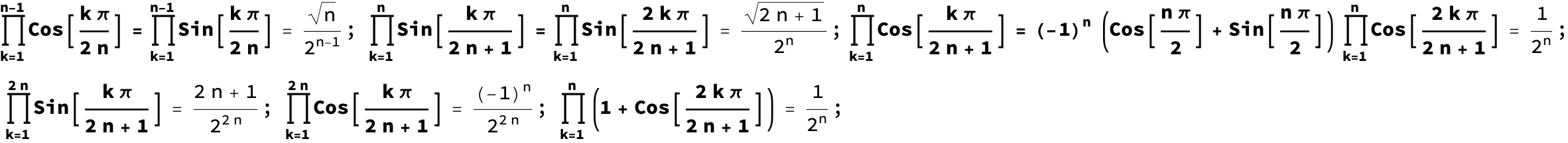
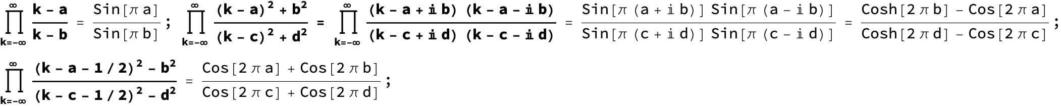
Infinite Products : ( Back to Top )

InfProd_11.png

This product converges and delivers infinite product representations for many functions if the {a, b, c, d} are
replaced by constants and simple functions of z :

InfProd_12.png

InfProd_13.png

InfProd_14.png

InfProd_15.png

InfProd_16.png

InfProd_17.png

InfProd_18.png

InfProd_19.png

InfProd_20.png

InfProd_21.png

InfProd_22.png

InfProd_23.png

InfProd_24.png

InfProd_25.png

InfProd_26.png

InfProd_27.png

InfProd_28.png

InfProd_29.png

InfProd_30.png

InfProd_31.png

InfProd_32.png

InfProd_33.png

InfProd_34.png

InfProd_35.png

InfProd_36.png

InfProd_37.png

InfProd_38.gif

InfProd_39.png

InfProd_40.png

InfProd_41.png

InfProd_42.png

InfProd_43.png

InfProd_44.png

InfProd_45.png

InfProd_46.png

InfProd_47.png

InfProd_48.png

InfProd_49.png

InfProd_50.gif

InfProd_51.png

InfProd_52.png

InfProd_53.png

InfProd_54.png

InfProd_55.png

InfProd_56.png

InfProd_57.png

InfProd_58.png

InfProd_59.png

InfProd_60.png

InfProd_61.png

InfProd_62.png

InfProd_63.png

InfProd_64.png

InfProd_65.gif

Products of two Gammas :

InfProd_66.png

InfProd_67.png

InfProd_68.png

InfProd_69.png

InfProd_70.gif

InfProd_71.gif

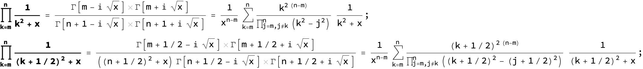
Partial Fraction Decompositions :

InfProd_72.png

General expression :

InfProd_73.png

some special cases :

Order 2:

InfProd_74.png

most common case (a quadratic binomial), with  InfProd_75.png  and  InfProd_76.png:

InfProd_77.png

Decomposition of the general quadratic trinomial applying the shorthand

InfProd_78.png

gives

InfProd_79.png

Order 3:

InfProd_80.png

With 3 abbreviations

InfProd_81.png

the general cubic multinomial  can be written in terms of first order in x:

InfProd_82.png

Order 4:

A simple one :

InfProd_83.png

Decomposition according to the general formula above :

InfProd_84.png

And at last using these 9  subexpressions

InfProd_85.gif

the general multinomial  of 4th order (n = 4) looks  like (expressed again in terms of  first order in x):

InfProd_86.png

  InfProd_87.png as simple function of k :

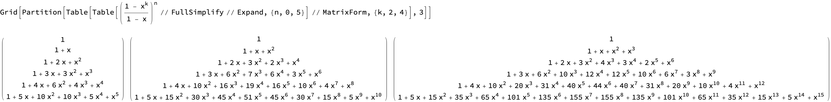
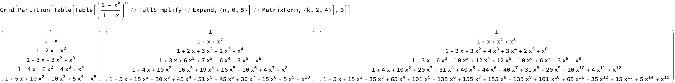
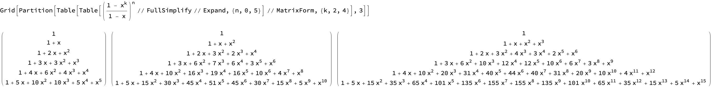
Decomposition of  finite products into power series

InfProd_88.png

The general case (r determines the start index of the product, the coefficients of x are called r - Stirling Numbers of the first Kind. See Oeis: e.g. A143493) :

InfProd_89.png

InfProd_90.png

1
4 1
20 9 1
120 74 15 1
840 638 179 22 1
6720 5944 2070 355 30 1
60480 60216 24574 5265 625 39 1

InfProd_91.png

InfProd_92.png

InfProd_93.png

InfProd_94.png

InfProd_95.png

InfProd_96.gif

InfProd_97.png

InfProd_98.png

Special cases with m = 0 :

InfProd_99.png

InfProd_100.png

InfProd_101.png

InfProd_102.png

InfProd_103.png

q - Product (0 < q < 1) :

InfProd_104.png

Two kinds of decomposition of the same product :

InfProd_105.gif

The form of the original product returns in the coefficients of the second decomposition sum, so there is a recurring structure, like :

InfProd_106.png

InfProd_107.png

(left hand side taken from the general expression for partial fractions above) equations like given for instance in the next line are valid for different functions f[k] :

InfProd_108.png

If f[k] = InfProd_109.png  then (0 < x)

InfProd_110.png

InfProd_111.png

or if f[k] = InfProd_112.png  then

InfProd_113.png

InfProd_114.png

InfProd_115.png

InfProd_116.png

InfProd_117.png

InfProd_118.png

InfProd_119.png

The next products are both equal to the mean of their factors :

InfProd_120.png

More Products :

The maximum of the next function is found at InfProd_121.png | f InfProd_122.png] ) =  InfProd_123.png,  its zeros on the positive (negative) axis are the odd (even) Integers and in general f[z] = f[-z-1] :

InfProd_124.png

InfProd_125.png

InfProd_126.png

InfProd_127.png

InfProd_128.png

InfProd_129.png

InfProd_130.png

InfProd_131.png

InfProd_132.gif

InfProd_133.png

InfProd_134.png

InfProd_135.png

InfProd_136.png

InfProd_137.png

InfProd_138.png

InfProd_139.png

InfProd_140.png

InfProd_141.png

InfProd_142.png

InfProd_143.png

InfProd_144.png

InfProd_145.png

InfProd_146.png

InfProd_147.png

Euler’s product :

InfProd_148.png

InfProd_149.png

InfProd_150.png

The idea for the following product is taken from: Symmetry 2022, 14, 1418. https://doi.org/10.3390/sym14071418 .

InfProd_151.png

InfProd_152.png

InfProd_153.png

InfProd_154.png

InfProd_155.png

InfProd_156.png

InfProd_157.png

InfProd_158.png

InfProd_159.png

For a large value of m >> n the next product approximates a Gauss function InfProd_160.png with standard deviation InfProd_161.png :

InfProd_162.png

The agreement of the above approximation for m  > InfProd_163.png increases with j and the error is smaller than InfProd_164.png in the interval (0 < n < 4InfProd_165.png) .

InfProd_166.png

InfProd_167.png

InfProd_168.png

InfProd_169.png

InfProd_170.png

InfProd_171.png

InfProd_172.png

InfProd_173.png

Products of trig functions :

InfProd_174.png

For  the  first  product  consider : Sin[y] = 2 Sin[y/2] Cos[y/2], repeated replacement of the Sin at the right hand side leads  to

InfProd_175.png

and  with  Limit[InfProd_176.png],  n → ∞ ]  =  x  the result follows .

Vieta' s product (set x → π/2 in the product of Cos above)  was maybe the first (anno 1593) documented infinite product.
It was obtained by taking the ratio of the area of the square inscribed  in a circle of radius r to the area of a InfProd_177.png- polygon (built from InfProd_178.png isosceles triangles) inscribed into the same circle
InfProd_179.png,
beginning with n = 2. It ends up at n = ∞, where the area of the polygon is equal to the area of the circle, with
InfProd_180.png.

InfProd_181.png

Vieta’s product can be rewritten by pulling the factors 1/2 inside the following square root factors :

InfProd_182.png

and may then be compared to its lemniscatic cousin, where the multiplications inside the square roots are changed to divisions:

InfProd_183.png

InfProd_184.png

InfProd_185.png

InfProd_186.png

InfProd_187.png

InfProd_188.png

InfProd_189.png

InfProd_190.png

InfProd_191.png

InfProd_192.png

InfProd_193.png

InfProd_194.png

InfProd_195.png

InfProd_196.gif

InfProd_197.png

InfProd_198.png

InfProd_199.png

InfProd_200.png

InfProd_201.png

InfProd_202.png

InfProd_203.png

InfProd_204.png

InfProd_205.png

InfProd_206.png

InfProd_207.png

InfProd_208.png

InfProd_209.png

InfProd_210.png

InfProd_211.png

InfProd_212.png

InfProd_213.png

InfProd_214.gif

InfProd_215.png

InfProd_216.png

InfProd_217.png

InfProd_218.png

InfProd_219.png

InfProd_220.png

InfProd_221.png

InfProd_222.png

InfProd_223.png

InfProd_224.png

InfProd_225.png

InfProd_226.png

InfProd_227.png

InfProd_228.png

InfProd_229.png

InfProd_230.png

InfProd_231.png

InfProd_232.gif

Products containing factors built from all primes p:

InfProd_233.png

InfProd_234.png

InfProd_235.png

InfProd_236.png

Special  values :

InfProd_237.png

Special  rational  values :

InfProd_238.png

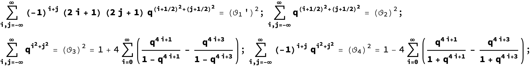
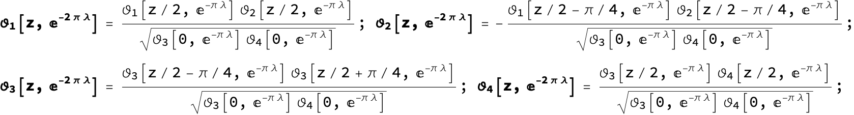
Products involving Theta Functions    ( Back to Top )

InfProd_239.png is shorthand for EllipticTheta[n, z, q] and InfProd_240.png means EllipticThetaPrime[m, z, q].

InfProd_241.png

Series and Product Representations :

InfProd_242.png

InfProd_243.png

InfProd_244.png

InfProd_245.png

InfProd_246.png

InfProd_247.png

InfProd_248.png

InfProd_249.png

With  InfProd_250.png[ 0 , q ] a few relations between the theta functions are

InfProd_251.gif

InfProd_252.png

InfProd_253.png

InfProd_254.png

InfProd_255.png

InfProd_256.png

InfProd_257.png

InfProd_258.png

InfProd_259.png

These limits give "needles" of height ±1 situated at the extreme values of Cos or Sin respectively (n∼1/(4λ)) :

InfProd_260.png

InfProd_261.png

InfProd_262.png

Approximation of quotients (0.4 < λ) :

InfProd_263.gif

InfProd_264.png

InfProd_265.png

Partial differential equation (pde) :

InfProd_266.png

EllipticThetas with imaginary argument :

InfProd_267.png

With z → 0 this reduces to

InfProd_268.png

Relations of imaginary and real part of the theta functions with real argument  and imaginary nome (q ∈ R) :

InfProd_269.png

Half Lambda :

InfProd_270.png

InfProd_271.png

InfProd_272.png

InfProd_273.png

InfProd_274.png

InfProd_275.png

Double Lambda :

InfProd_276.gif

InfProd_277.png

Other relations :

InfProd_278.png

InfProd_279.png

From an equation involving Eisenstein series InfProd_280.png and InfProd_281.png InfProd_282.png and their connection to theta functions:

InfProd_283.png

Square and square root of q :

InfProd_284.png

InfProd_285.png

negative  q :

InfProd_286.png

imaginary  nome :

InfProd_287.png

InfProd_288.png

Double Argument  (Landen), -  see above for double  InfProd_289.png)  and half  InfProd_290.pngLambda - :

InfProd_291.png

InfProd_292.png

InfProd_293.png

InfProd_294.png

Half Argument :

InfProd_295.png

InfProd_296.png

InfProd_297.png

InfProd_298.png

Derivatives with respect to q :

InfProd_299.png

InfProd_300.png

InfProd_301.png

InfProd_302.png

With help of the pde above is (second or third derivative with respect to the argument z at z = 0) :

InfProd_303.png

For definite integrals of elliptic theta functions scroll to the bottom of: http://www-elsa.physik.uni-bonn.de/~dieckman/IntegralsDefinite/DefInt.html

Series of theta functions :

InfProd_304.png

InfProd_305.png

InfProd_306.png

Now InfProd_307.png may be extracted out of the sum because of its periodicity (see table below)
InfProd_308.png
{0.554084,-0.554084,0.554084,-0.554084,0.554084,-0.554084,0.554084,-0.554084,0.554084,-0.554084,0.554084}

and the remaining sum can be done :

InfProd_309.png

InfProd_310.png

After letting q = InfProd_311.png and some algebra this may be generalized to :

InfProd_312.gif

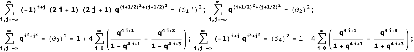
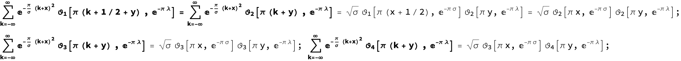
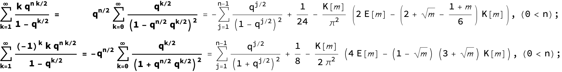
Infinite sums of elliptic theta functions multiplied with some function f[k] depending on k (as the theta functions are periodic, they may be - up to a sign - be pulled out of the sum) :

InfProd_313.png

Series representation of ratios of theta functions :

InfProd_314.png

InfProd_315.png

InfProd_316.png

The following double products numerically converge best if k ≫ n.

InfProd_317.png

InfProd_318.png

Double product representation of the single theta functions :

InfProd_319.png

InfProd_320.png

InfProd_321.png

InfProd_322.png

If the product over k is done first then products remain containing Tanh or Coth :

InfProd_323.png

InfProd_324.png

InfProd_325.png

InfProd_326.png

InfProd_327.png

InfProd_328.png

InfProd_329.png

InfProd_330.png

The theta functions may be expressed through each other :

InfProd_331.png

and exhibit a kind of double periodicity ({m, n} ∈ Z) :

InfProd_332.png

Products with factors made up of powers or square roots of ratios of integers (dancing numbers…) :

InfProd_333.png

InfProd_334.png

InfProd_335.png

InfProd_336.png

InfProd_337.png

InfProd_338.png

InfProd_339.png

The power of the golden ratio is related to the Fibonacci sequence :

InfProd_340.png

InfProd_341.png

The Fibonacci polynomials can be written as

InfProd_342.png

InfProd_343.png

InfProd_344.png

InfProd_345.png

1
1.
1
1.
2
2.
3
3.
5
5.
8
8.
13
13.
21
21.
34
34.
55
55.
1
1.
2
2.
5
5.
12
12.
29
29.
70
70.
169
169.
408
408.
985
985.
2378
2378.
1
1.
3
3.
10
10.
33
33.
109
109.
360
360.
1189
1189.
3927
3927.
12970
12970.
42837
42837.
1
1.
4
4.
17
17.
72
72.
305
305.
1292
1292.
5473
5473.
23184
23184.
98209
98209.
416020
416020.
1
1.
5
5.
26
26.
135
135.
701
701.
3640
3640.
18901
18901.
98145
98145.
509626
509626.
2646275
2.64628*10^^6

InfProd_346.png

InfProd_347.png

InfProd_348.png

InfProd_349.png

InfProd_350.png

InfProd_351.png

InfProd_352.gif

InfProd_353.png

InfProd_354.png

InfProd_355.png

InfProd_356.png

InfProd_357.png

InfProd_358.png

The next product featuring the lemniscatic constant appears in a similar form compared to the Wallis product directly above (isn’t that amazing ?) :

InfProd_359.png

Both ((*1*) and (*2*)) describe a certain property of members of the family of clover curves given by the polar equation

InfProd_360.png

where r and θ denote the polar coordinates of a point on the curve  (m = 1: Cardioid, m = 2: circle, m = 3: three-leaf-clover, m = 4: lemniscate, m = 5: five-leaf-clover…).
Their principal parts are located inside a cone of width θ = {-π/m, π/m} while the respective arclengths (at r = 1) of the positive half a ‘clover leaf’ can be nicely expressed in form of a Wallis - type product as:

InfProd_361.png

cf.  Hyde: A Wallis product on clovers.

For m up to 5 the arclengths of the half leaves are explicitly:

InfProd_362.png

The quotient of (*2*)/(*1*) is :

InfProd_363.png

and  (*1*)/(*2*) now running from k = 0  gives :

InfProd_364.png

The next Wallis - type product describes the area under a superellipse expressed by  InfProd_365.png with a = b = 1 inside the first quadrant:

InfProd_366.png

A few values of the product above for integer s from 1 to 6 are

InfProd_367.png

where InfProd_368.png = InfProd_369.png is the real half - period of the Weierstrass elliptic function with invariants g2 = 0, g3 = 1.

InfProd_370.png

InfProd_371.png

InfProd_372.png

InfProd_373.png

InfProd_374.png

InfProd_375.png

InfProd_376.png

Values  of  the  Hypergeometric2F1  for  low  m  are :

InfProd_377.png

InfProd_378.png

InfProd_379.png

InfProd_380.png

InfProd_381.png

InfProd_382.png

InfProd_383.png

Trigonometric and hyperbolic Products :

InfProd_384.png

InfProd_385.png

InfProd_386.png

InfProd_387.png

InfProd_388.png

InfProd_389.png

InfProd_390.png

InfProd_391.png

InfProd_392.png

InfProd_393.png

InfProd_394.png

InfProd_395.png

InfProd_396.png

InfProd_397.png

InfProd_398.png

InfProd_399.png

With  m = InverseEllipticNomeQ[Exp[-π λ]] and K[m] = EllipticK[m] :   

InfProd_400.png

InfProd_401.png

InfProd_402.png

InfProd_403.png

InfProd_404.png

InfProd_405.png

InfProd_406.png

InfProd_407.png

InfProd_408.png

InfProd_409.png

InfProd_410.png

InfProd_411.png

InfProd_412.png

InfProd_413.png

InfProd_414.png

InfProd_415.png

InfProd_416.png

InfProd_417.png

InfProd_418.png

InfProd_419.png

InfProd_420.png

InfProd_421.png

InfProd_422.png

InfProd_423.png

InfProd_424.png

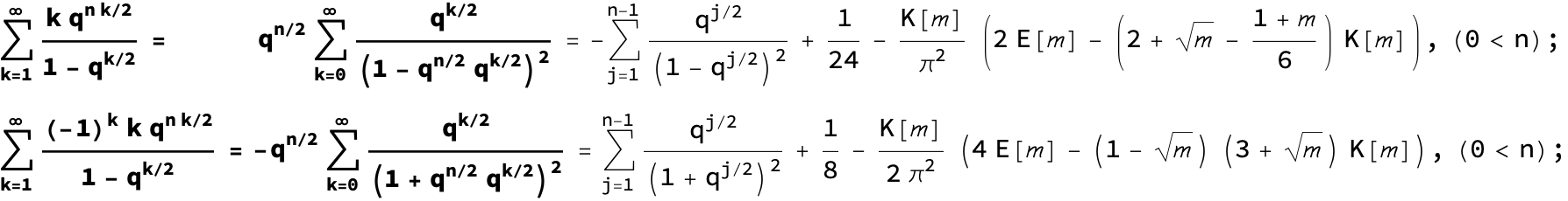
q - Products :

In the following is ( 0 < q < 1 ) and InfProd_425.png[ 0 , q ] ,   (InfProd_426.png[ 0 , q ] =InfProd_427.png[ 0 , - q ] ) :

InfProd_428.png

InfProd_429.png

InfProd_430.png

m = InverseEllipticNomeQ[q] and K[m] = EllipticK[InverseEllipticNomeQ[q]].

InfProd_431.png

InfProd_432.gif

InfProd_433.png

InfProd_434.png

InfProd_435.png

InfProd_436.png

InfProd_437.png

InfProd_438.png

InfProd_439.gif

InfProd_440.png

InfProd_441.png

InfProd_442.png

InfProd_443.png

InfProd_444.png

InfProd_445.png

InfProd_446.png

InfProd_447.png

InfProd_448.png

InfProd_449.png

InfProd_450.png

InfProd_451.png

InfProd_452.png

InfProd_453.png

InfProd_454.png

InfProd_455.png

InfProd_456.png

InfProd_457.png

InfProd_458.png

InfProd_459.png

InfProd_460.png

InfProd_461.png

InfProd_462.png

InfProd_463.png

InfProd_464.png

InfProd_465.png

m = InverseEllipticNomeQ[q], K[m] = EllipticK[InverseEllipticNomeQ[q]] and E[m] = EllipticE[InverseEllipticNomeQ[q]]:

InfProd_466.png

InfProd_467.png

InfProd_468.png

InfProd_469.png

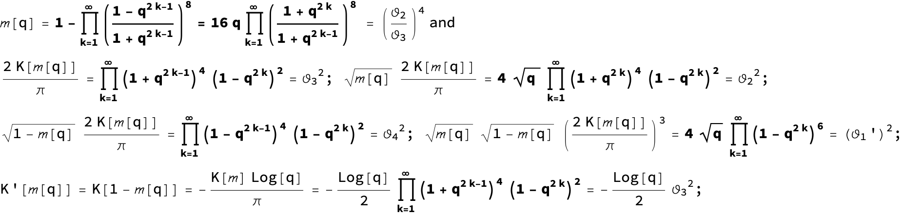
InverseEllipticNomeQ m[q], K[m[q]] and E[m[q]] expressed through infinite products or theta functions:

InfProd_470.gif

InfProd_471.png

InfProd_472.png

InfProd_473.png

InfProd_474.pngInfProd_475.png and InfProd_476.png can be expressed through m[q] , K[m[q]] and E[m[q]] :

InfProd_477.png

and similarly :

InfProd_478.png

and :

InfProd_479.png

and from combining the above like :

InfProd_480.png

we get :

InfProd_481.png

as q is getting larger than InfProd_482.png the branch cut of K and E is crossed, so the continuous and smooth complex functions are built from two parts :

InfProd_483.png

or turned the other way round :

InfProd_484.png

InfProd_485.png

If the result of the imaginary transformation doesn't seem right, consider the following points :
• If in the resulting formula a sign change of the imaginary part as function of q occurs under a square root ( at q = Exp[- π / 2] ) then the square root may take the other sign
• Logs with complex arguments may end up on a wrong branch, try replacing Log[...] with Log[...] + n 2 π i

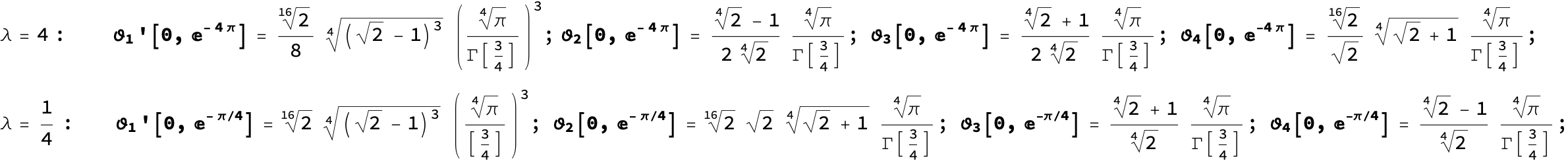
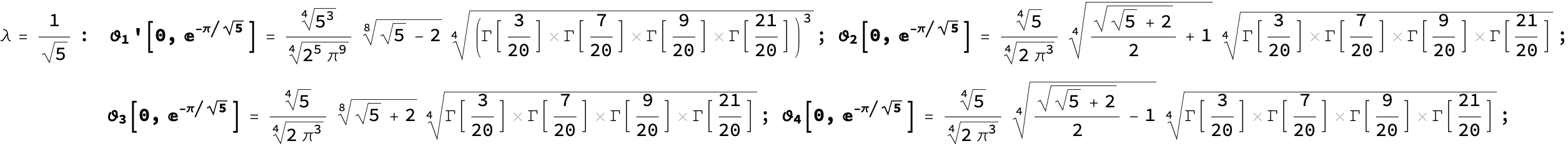
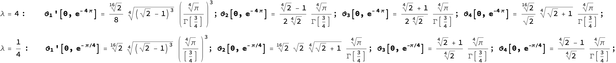
Theta Functions (z = 0, π/4, π/2, 3π/4) expressed through EllipticK and m :

InfProd_486.png InfProd_487.png InfProd_488.png InfProd_489.png
InfProd_490.png InfProd_491.png InfProd_492.png InfProd_493.png
InfProd_494.png InfProd_495.png InfProd_496.png InfProd_497.png
InfProd_498.png InfProd_499.png InfProd_500.png InfProd_501.png
InfProd_502.png InfProd_503.png InfProd_504.png InfProd_505.png
InfProd_506.png InfProd_507.png InfProd_508.png InfProd_509.png
InfProd_510.png InfProd_511.png InfProd_512.png InfProd_513.png
InfProd_514.png InfProd_515.png InfProd_516.png InfProd_517.png

Series expansion of InverseEllipticNomeQ :

InfProd_518.png

With nome q = InfProd_519.png the complementary nome is q’ InfProd_520.png= InfProd_521.png. The following development shows convergence for InfProd_522.png < q, because q’ is rapidly approaching zero with increasing q < 1 :

InfProd_523.png

Connection of InverseEllipticNomeQ to ModularLambda :

InfProd_524.png

InfProd_525.pngInfProd_526.png (n) in Wikipedia (see ' modular lambda function') .

InfProd_527.png

Special values of InfProd_528.png (n) :

InfProd_529.png

Specific Values :

InfProd_530.png

InfProd_531.png

InfProd_532.png

InfProd_533.png

InfProd_534.png

InfProd_535.png

InfProd_536.png

InfProd_537.png

InfProd_538.png

InfProd_539.gif

InfProd_540.png

InfProd_541.png

InfProd_542.png

InfProd_543.png

InfProd_544.png

InfProd_545.png

InfProd_546.png

InfProd_547.png

InfProd_548.png

A special (remarkable) relation :

InfProd_549.png

InfProd_550.png

InfProd_551.png

InfProd_552.png

InfProd_553.png

EllipticNomeQ :

Series expansion and approximation :

InfProd_554.png

InfProd_555.png

Square and square root of the nome :

InfProd_556.png

Specific Values :

q[m[#]] = #; from specific values of InverseEllipticNomeQ above like for example q[ m[InfProd_557.png] ]  =  q[ InfProd_558.png]  =InfProd_559.png;

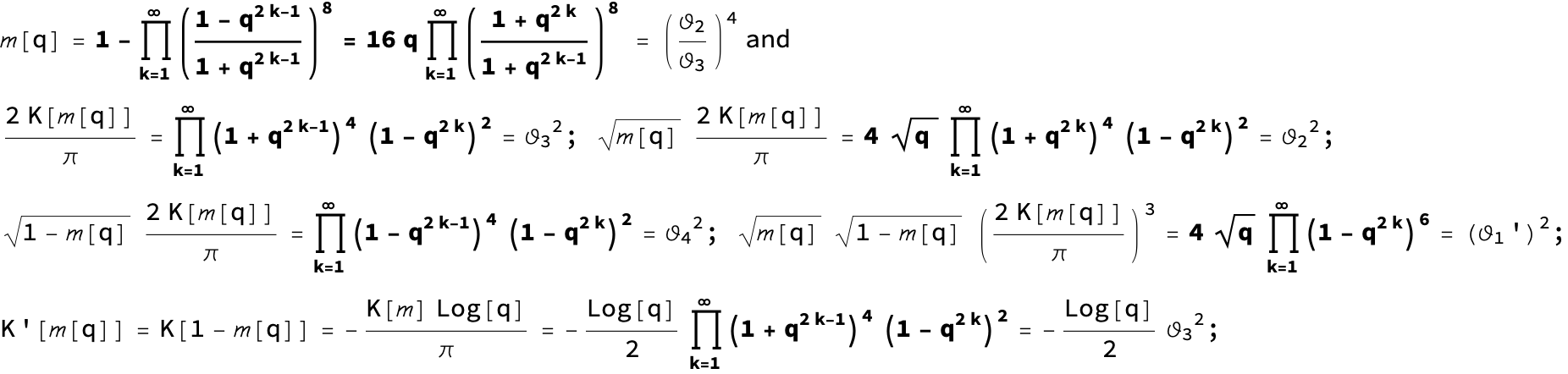
Ramanujans g functions:

InfProd_560.png and InfProd_561.png are Ramanujan g functions, m = InverseEllipticNomeQ[ InfProd_562.png]  (for each n ∈ Integer  the even g and the odd G seem to show a somewhat simpler structure than their counterparts) :

InfProd_563.png

InfProd_564.png

InfProd_565.png

InfProd_566.png

InfProd_567.png

InfProd_568.png

InfProd_569.png

InfProd_570.png

InfProd_571.png

InfProd_572.png

InfProd_573.png

InfProd_574.png

InfProd_575.png

Products with q = InfProd_576.png :

m = InverseEllipticNomeQ[InfProd_577.png],  InfProd_578.png = InfProd_579.png[0, InfProd_580.png] :

InfProd_581.png

InfProd_582.png

InfProd_583.png

InfProd_584.png

Special cases :

InfProd_585.png

InfProd_586.png

InfProd_587.png

InfProd_588.png

InfProd_589.png

InfProd_590.png

InfProd_591.png

InfProd_592.png

InfProd_593.png

InfProd_594.png

InfProd_595.png

InfProd_596.png

InfProd_597.png

InfProd_598.png

InfProd_599.png

InfProd_600.png

InfProd_601.png

InfProd_602.png

InfProd_603.png

InfProd_604.png

InfProd_605.png

InfProd_606.png

InfProd_607.png

InfProd_608.png

InfProd_609.png

InfProd_610.png

InfProd_611.png

InfProd_612.png

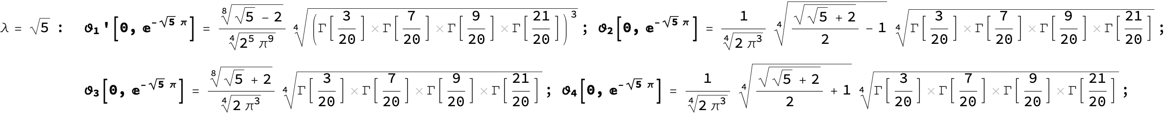
Theta Functions, specific values :

InfProd_613.png

InfProd_614.png

InfProd_615.png

InfProd_616.png

InfProd_617.png

InfProd_618.gif

InfProd_619.gif

InfProd_620.gif

InfProd_621.png

InfProd_622.gif

InfProd_623.gif

InfProd_624.png

InfProd_625.png

InfProd_626.png

InfProd_627.png

InfProd_628.png

InfProd_629.png

InfProd_630.png

InfProd_631.png

InfProd_632.png

InfProd_633.png

InfProd_634.png

InfProd_635.png

InfProd_636.png

InfProd_637.png

InfProd_638.png

InfProd_639.png

InfProd_640.png

InfProd_641.png

InfProd_642.png

InfProd_643.png

InfProd_644.png

InfProd_645.png

InfProd_646.png

InfProd_647.gif

InfProd_648.png

Beauty meets well-tempered music…;-) ↓

InfProd_649.png

InfProd_650.png

InfProd_651.png

InfProd_652.png

InfProd_653.png

InfProd_654.png

InfProd_655.png

InfProd_656.png

InfProd_657.png

InfProd_658.png

InfProd_659.png

InfProd_660.png

InfProd_661.png

InfProd_662.png

InfProd_663.png

InfProd_664.png

InfProd_665.png

InfProd_666.png

InfProd_667.png

InfProd_668.png

InfProd_669.png

InfProd_670.png

InfProd_671.png

InfProd_672.png

InfProd_673.png

InfProd_674.png

InfProd_675.png

InfProd_676.png

Other formulae and curiosities including sums of hyperbolic and inverse tangent (arctan) functions and q - series:   ( Back to Top )

The following double sums numerically converge best if k ≫ n. For numerical checks the finite lower limit should be increased by 1 in case the running index is shifted by -1/2.
ϑ ‘’ represents the second derivative of ϑ (x,q) with respect to x, e.g.: InfProd_677.png means InfProd_678.png.

The (non alternating) double series with linear or square denominator converge best numerically if k >> n.

InfProd_679.png

InfProd_680.png

InfProd_681.png

InfProd_682.png

InfProd_683.png

InfProd_684.png

InfProd_685.png

InfProd_686.png

InfProd_687.png

InfProd_688.png

InfProd_689.png

InfProd_690.png

InfProd_691.png

InfProd_692.png

InfProd_693.png

InfProd_694.png

InfProd_695.png

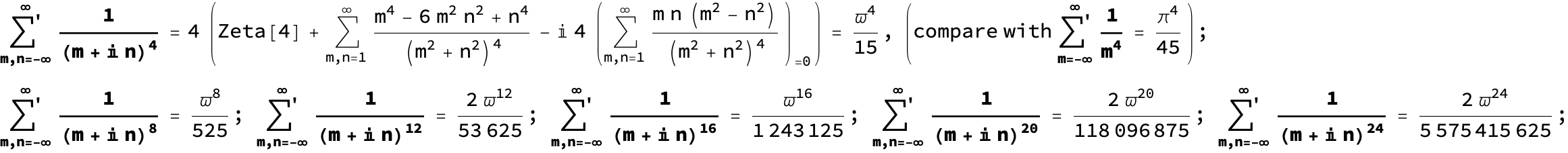
More double sums can be found below at 'multiple Sums (Lattice sums)'.

InfProd_696.png

InfProd_697.png

InfProd_698.png

InfProd_699.png

InfProd_700.png

InfProd_701.png

InfProd_702.png

InfProd_703.png

InfProd_704.png

InfProd_705.png

InfProd_706.png

InfProd_707.png

Series involving exponentials :

InfProd_708.png

InfProd_709.png

InfProd_710.png

InfProd_711.png

InfProd_712.png

InfProd_713.png

InfProd_714.png

InfProd_715.png

InfProd_716.png

InfProd_717.png

InfProd_718.png

InfProd_719.png

InfProd_720.png

InfProd_721.png

InfProd_722.png

InfProd_723.png

InfProd_724.png

InfProd_725.png

InfProd_726.png

InfProd_727.png

InfProd_728.png

InfProd_729.gif

InfProd_730.png

InfProd_731.png

InfProd_732.png

InfProd_733.png

InfProd_734.png

Theta functions as series of shifted Gauss functions having equal widths (aren’t these quite remarkable relations? See below in series of hyberbolic functions for a similar phenomenon with shifted Sech and Csch functions connected to lemniscate functions) :

InfProd_735.png

InfProd_736.png

InfProd_737.png

InfProd_738.png

InfProd_739.png

InfProd_740.png

InfProd_741.png

InfProd_742.png

InfProd_743.png

InfProd_744.png

InfProd_745.png

InfProd_746.png

InfProd_747.png

InfProd_748.png

InfProd_749.png

InfProd_750.png

InfProd_751.png

InfProd_752.png

InfProd_753.png

InfProd_754.png

InfProd_755.png

InfProd_756.png

InfProd_757.png

InfProd_758.png

InfProd_759.png

InfProd_760.png

InfProd_761.png

InfProd_762.png

InfProd_763.png

Series involving InfProd_764.png :

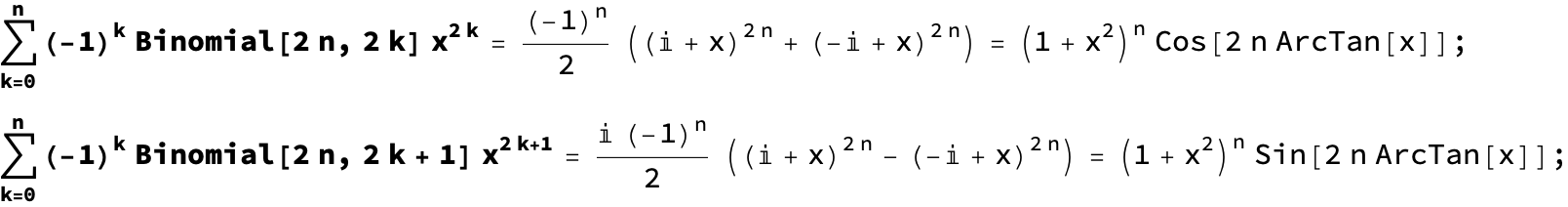
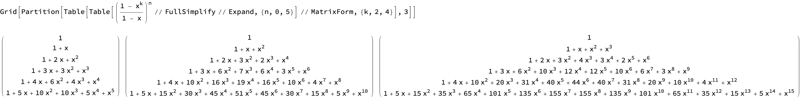
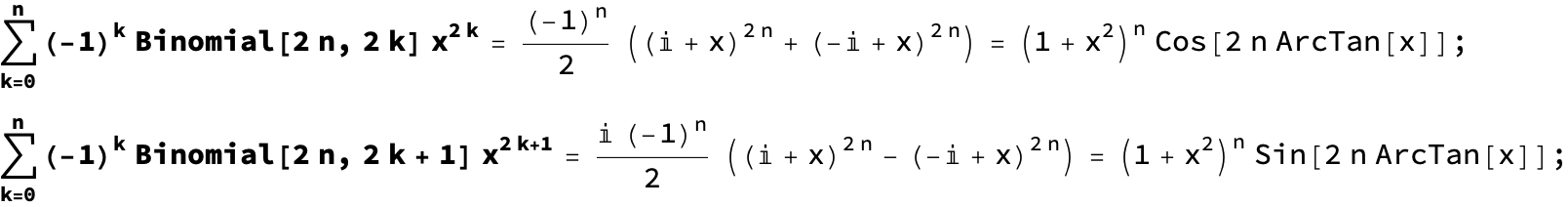
For  n < k  Binomial[n, k] = 0;

InfProd_765.gif

InfProd_766.png

InfProd_767.png

InfProd_768.png

InfProd_769.gif

InfProd_770.png

InfProd_771.png

InfProd_772.png

InfProd_773.png

InfProd_774.png

InfProd_775.png

InfProd_776.png

InfProd_777.png

InfProd_778.png

InfProd_779.png

InfProd_780.png

InfProd_781.png

InfProd_782.png

InfProd_783.png

InfProd_784.png

InfProd_785.png

InfProd_786.png

InfProd_787.png

InfProd_788.png

InfProd_789.png

InfProd_790.png

InfProd_791.png

InfProd_792.png

InfProd_793.png

InfProd_794.png

InfProd_795.png

InfProd_796.png

InfProd_797.png

InfProd_798.png

InfProd_799.png

InfProd_800.png

InfProd_801.png

InfProd_802.png

InfProd_803.png

InfProd_804.png

InfProd_805.png

InfProd_806.png

InfProd_807.gif

InfProd_808.png

InfProd_809.png

InfProd_810.png

InfProd_811.png

InfProd_812.png

InfProd_813.png

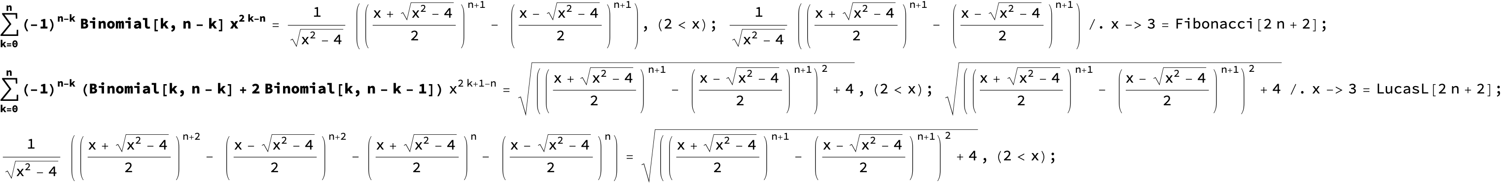
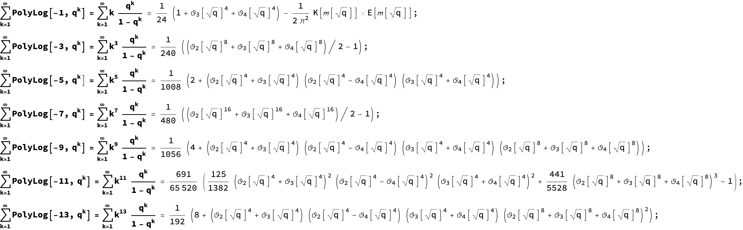
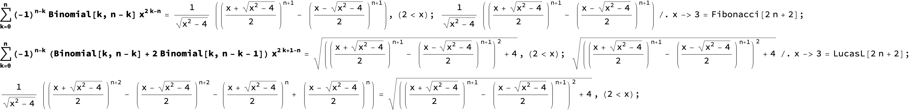
The next sum (evaluated at x = 1) returns the Fibonacci numbers :

InfProd_814.png

InfProd_815.png

InfProd_816.gif

LucasL[n] = Fibonacci[n + 2] - Fibonacci[n - 2] = Fibonacci[n + 1] + Fibonacci[n - 1];

Eulerian numbers of the first and second order are :

InfProd_817.png

InfProd_818.png

InfProd_819.png

InfProd_820.png

1
1+x
InfProd_821.png
InfProd_822.png
InfProd_823.png

InfProd_824.png

InfProd_825.png

x
InfProd_826.png
InfProd_827.png
InfProd_828.png
InfProd_829.png

InfProd_830.png

Two products with interesting significance (see next section) :

InfProd_831.png

The following  series  in this section are useful for evaluating some lattice  sums .

We may in some cases reduce lattice sums to single sums by taking into account the multiplicity of their summands of the same size with a binomial multiplication factor :
Binomial[k + m - 1, m - 1] gives the number of  ways to add m integers (all ≥ 0)  summing up to k .
Binomial[k - 1, m - 1]      gives the number of  ways to add m integers (all > 0)  summing up to k .
see https://en.wikipedia.org/wiki/Stars_and_bars_(combinatorics)  

InfProd_832.png

InfProd_833.png

InfProd_834.gif

Results  for  low  s  (row), m  (column)  values  are  (for s < m obtained from
InfProd_835.png ):

InfProd_836.png InfProd_837.png InfProd_838.png InfProd_839.png InfProd_840.png
InfProd_841.png InfProd_842.png InfProd_843.png InfProd_844.png InfProd_845.png
InfProd_846.png InfProd_847.png InfProd_848.png InfProd_849.png InfProd_850.png
InfProd_851.png InfProd_852.png InfProd_853.png InfProd_854.png InfProd_855.png

InfProd_856.png

Results  for low  s (row), m (column)  values  are :

InfProd_857.png

InfProd_858.png InfProd_859.png
InfProd_860.png InfProd_861.png

Special care has to be taken in case s = 1 at x = - 1. The  numerical  sum  converges  only  in  the  limit  to  the  regularized  result :

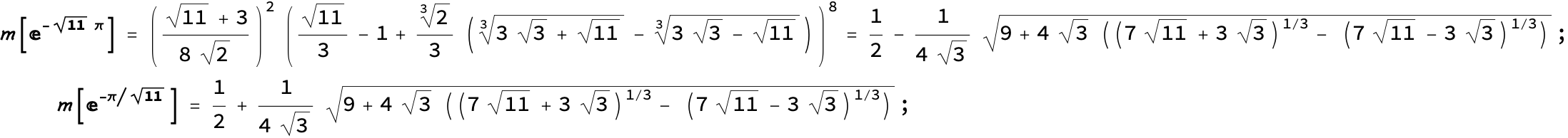
InfProd_862.png

InfProd_863.png

InfProd_864.png

Results  for low  s (row), m (column)  values  are :

InfProd_865.png

InfProd_866.png InfProd_867.png InfProd_868.png
InfProd_869.png InfProd_870.png InfProd_871.png

Special care has to be taken in case  s = 1 at  x = -1.  The  numerical  sum  converges  only  in  the  limit  to  the  regularized  result :

InfProd_872.png

InfProd_873.png

InfProd_874.png

Results for low m values  are again in terms of Lerch’s function  (if x = - 1 then for s < m the sum needs to be regularized using “Abel”) :

InfProd_875.png

InfProd_876.png

Results  for  low  m  values   are  in  terms  of  Lerch' s  function  (if x = - 1 then for s ≤ m the sum may need to be regularized using “Abel”):

InfProd_877.png

InfProd_878.png

Results for low  m values are (expressed in terms of Lerch' s function) :

InfProd_879.png

InfProd_880.png

To  evaluate  the  right  hand  side  of  the  above  expression   numerically  set 'm'  to ‘m + InfProd_881.png’ .
Results  for  low  m  values   are  in  terms  of  Lerch’ s  function  (if x = - 1 then for s ≤ m the sum may need to be regularized using “Abel”):

InfProd_882.png

InfProd_883.png

InfProd_884.png

InfProd_885.png

Series of Stirling numbers :

InfProd_886.png

InfProd_887.png

InfProd_888.png

InfProd_889.png

InfProd_890.png

InfProd_891.png

InfProd_892.png

InfProd_893.png

InfProd_894.png

By the Inversion Theorem for Stirling numbers (S1 ⇔ S2):

InfProd_895.png

InfProd_896.png

InfProd_897.png

InfProd_898.png

InfProd_899.png

InfProd_900.gif

InfProd_901.png

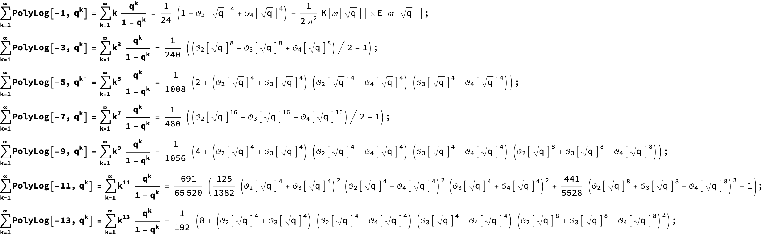
Series of trigonometric functions :

InfProd_902.png

InfProd_903.png

InfProd_904.png

InfProd_905.png

InfProd_906.png

InfProd_907.png

InfProd_908.png

InfProd_909.png

InfProd_910.png

InfProd_911.png

InfProd_912.png

InfProd_913.png

InfProd_914.png

InfProd_915.png

InfProd_916.png

InfProd_917.png

InfProd_918.png

InfProd_919.png

InfProd_920.png

InfProd_921.png

InfProd_922.png

InfProd_923.png

InfProd_924.gif

InfProd_925.png

InfProd_926.png

InfProd_927.png

InfProd_928.png

InfProd_929.png

InfProd_930.png

InfProd_931.png

InfProd_932.png

InfProd_933.png

InfProd_934.png

InfProd_935.png

InfProd_936.png

InfProd_937.png

InfProd_938.png

InfProd_939.png

InfProd_940.png

InfProd_941.png

InfProd_942.png

InfProd_943.png

InfProd_944.png

InfProd_945.png

InfProd_946.png

InfProd_947.png

InfProd_948.png

InfProd_949.png

InfProd_950.png

InfProd_951.png

InfProd_952.png

InfProd_953.png

InfProd_954.png

InfProd_955.png

InfProd_956.png

InfProd_957.png

InfProd_958.png

InfProd_959.png

InfProd_960.png

InfProd_961.png

InfProd_962.png

InfProd_963.png

InfProd_964.png

InfProd_965.png

InfProd_966.png

InfProd_967.png

InfProd_968.png

InfProd_969.png

InfProd_970.png

InfProd_971.png

InfProd_972.png

InfProd_973.png

InfProd_974.png

InfProd_975.png

InfProd_976.png

InfProd_977.png

InfProd_978.png

InfProd_979.png

InfProd_980.png

InfProd_981.png

InfProd_982.png

InfProd_983.png

InfProd_984.png

InfProd_985.png

InfProd_986.png

InfProd_987.png

InfProd_988.png

InfProd_989.png

InfProd_990.png

InfProd_991.png

InfProd_992.png

InfProd_993.png

InfProd_994.png

InfProd_995.png

InfProd_996.png

InfProd_997.png

InfProd_998.png

InfProd_999.png

InfProd_1000.png

InfProd_1001.png

InfProd_1002.png

InfProd_1003.png

InfProd_1004.png

InfProd_1005.png

InfProd_1006.png

InfProd_1007.png

InfProd_1008.png

InfProd_1009.png

InfProd_1010.png

InfProd_1011.png

InfProd_1012.png

InfProd_1013.png

InfProd_1014.png

InfProd_1015.png

InfProd_1016.png

The following approximations hold to about 3‰ over all a :

InfProd_1017.png

InfProd_1018.png

InfProd_1019.png

InfProd_1020.png

InfProd_1021.png

InfProd_1022.png

InfProd_1023.png

InfProd_1024.png

InfProd_1025.png

InfProd_1026.png

InfProd_1027.png

InfProd_1028.png

InfProd_1029.png

InfProd_1030.png

InfProd_1031.png

InfProd_1032.png

InfProd_1033.png

InfProd_1034.gif

InfProd_1035.png

InfProd_1036.png

InfProd_1037.png

InfProd_1038.png

InfProd_1039.png

InfProd_1040.png

InfProd_1041.png

InfProd_1042.png

InfProd_1043.png

InfProd_1044.png

InfProd_1045.png

InfProd_1046.gif

InfProd_1047.png

InfProd_1048.gif

InfProd_1049.png

InfProd_1050.png

InfProd_1051.png

InfProd_1052.png

InfProd_1053.png

InfProd_1054.png

InfProd_1055.png

InfProd_1056.png

InfProd_1057.png

InfProd_1058.png

InfProd_1059.gif

InfProd_1060.png

InfProd_1061.png

InfProd_1062.png

InfProd_1063.png

InfProd_1064.png

InfProd_1065.png

InfProd_1066.png

InfProd_1067.png

InfProd_1068.png

InfProd_1069.png

InfProd_1070.png

InfProd_1071.gif

InfProd_1072.gif

InfProd_1073.png

InfProd_1074.png

InfProd_1075.png

Amazing identities connecting trigonometric and lemniscate functions:

InfProd_1076.png

InfProd_1077.png

InfProd_1078.png

Special values of trigonometric functions :

Euler :

InfProd_1079.png

Sin[π k/n] , n = 2 to 8 (rows) and k = 1 to n - 1 (columns) :

InfProd_1080.png

1
InfProd_1081.png InfProd_1082.png
InfProd_1083.png 1 InfProd_1084.png
InfProd_1085.png InfProd_1086.png InfProd_1087.png InfProd_1088.png
InfProd_1089.png InfProd_1090.png 1 InfProd_1091.png InfProd_1092.png
InfProd_1093.png InfProd_1094.png InfProd_1095.png InfProd_1096.png InfProd_1097.png InfProd_1098.png
InfProd_1099.png InfProd_1100.png InfProd_1101.png 1 InfProd_1102.png InfProd_1103.png InfProd_1104.png

Cos[π k/n], n = 2 to 8 (rows) and k = 1 to n - 1 (columns) :

InfProd_1105.png

0
InfProd_1106.png InfProd_1107.png
InfProd_1108.png 0 InfProd_1109.png
InfProd_1110.png InfProd_1111.png InfProd_1112.png InfProd_1113.png
InfProd_1114.png InfProd_1115.png 0 InfProd_1116.png InfProd_1117.png
InfProd_1118.png InfProd_1119.png InfProd_1120.png InfProd_1121.png InfProd_1122.png InfProd_1123.png
InfProd_1124.png InfProd_1125.png InfProd_1126.png 0 InfProd_1127.png InfProd_1128.png InfProd_1129.png

Repeated bisection of the angle (2n+1)π inside of trigonometric functions gives (row k = 1 to 6 , column n =  0 to 5):

InfProd_1130.png

1
-1
1
-1
1
-1
InfProd_1131.png
InfProd_1132.png
InfProd_1133.png
InfProd_1134.png
InfProd_1135.png
InfProd_1136.png
InfProd_1137.png
InfProd_1138.png
InfProd_1139.png InfProd_1140.png
InfProd_1141.png
InfProd_1142.png
InfProd_1143.png
InfProd_1144.png
InfProd_1145.png
InfProd_1146.png
InfProd_1147.png
InfProd_1148.png
InfProd_1149.png
InfProd_1150.png
InfProd_1151.png
InfProd_1152.png
InfProd_1153.png
InfProd_1154.png
InfProd_1155.png
InfProd_1156.png
InfProd_1157.png
InfProd_1158.png
InfProd_1159.png
InfProd_1160.png

InfProd_1161.png

0
0
0
0
0
0
InfProd_1162.png
InfProd_1163.png
InfProd_1164.png
InfProd_1165.png
InfProd_1166.png
InfProd_1167.png
InfProd_1168.png
InfProd_1169.png
InfProd_1170.png
InfProd_1171.png
InfProd_1172.png
InfProd_1173.png
InfProd_1174.png
InfProd_1175.png
InfProd_1176.png
InfProd_1177.png
InfProd_1178.png
InfProd_1179.png
InfProd_1180.png
InfProd_1181.png
InfProd_1182.png
InfProd_1183.png
InfProd_1184.png
InfProd_1185.png
InfProd_1186.png
InfProd_1187.png
InfProd_1188.png
InfProd_1189.png
InfProd_1190.png
InfProd_1191.png

Repeated angular bisection of any angle φ  :

InfProd_1192.png

InfProd_1193.png InfProd_1194.png InfProd_1195.png InfProd_1196.png InfProd_1197.png InfProd_1198.png
InfProd_1199.png InfProd_1200.png InfProd_1201.png InfProd_1202.png InfProd_1203.png InfProd_1204.png
InfProd_1205.png InfProd_1206.png InfProd_1207.png InfProd_1208.png InfProd_1209.png InfProd_1210.png
InfProd_1211.png InfProd_1212.png InfProd_1213.png InfProd_1214.png InfProd_1215.png InfProd_1216.png

If Cos[φ] allows a radical expression (see below), then the Cos or Sin of the repeated bisection InfProd_1217.png  also have radical forms as shown exemplary  in the next two tables (row k = 0 to 3 bisections , angles φ = 0 to 5π/48 in steps of π/48 (columns)):

InfProd_1218.gif

sin[0]
0
InfProd_1219.png
InfProd_1220.png
InfProd_1221.png
InfProd_1222.png
InfProd_1223.png
InfProd_1224.png
InfProd_1225.png
InfProd_1226.png
InfProd_1227.png
InfProd_1228.png
sin[0]
0
InfProd_1229.png
InfProd_1230.png
InfProd_1231.png
InfProd_1232.png
InfProd_1233.png
InfProd_1234.png
InfProd_1235.png
InfProd_1236.png
InfProd_1237.png
InfProd_1238.png
sin[0]
0
InfProd_1239.png
InfProd_1240.png
InfProd_1241.png
InfProd_1242.png
InfProd_1243.png
InfProd_1244.png
InfProd_1245.png
InfProd_1246.png
InfProd_1247.png
InfProd_1248.png
sin[0]
0
InfProd_1249.png
InfProd_1250.png
InfProd_1251.png
InfProd_1252.png
InfProd_1253.png
InfProd_1254.png
InfProd_1255.png
InfProd_1256.png
InfProd_1257.png
InfProd_1258.png

InfProd_1259.gif

cos[0]
1
InfProd_1260.png
InfProd_1261.png
InfProd_1262.png
InfProd_1263.png
InfProd_1264.png
InfProd_1265.png
InfProd_1266.png
InfProd_1267.png
InfProd_1268.png
InfProd_1269.png
cos[0]
1
InfProd_1270.png
InfProd_1271.png
InfProd_1272.png
InfProd_1273.png
InfProd_1274.png
InfProd_1275.png
InfProd_1276.png
InfProd_1277.png
InfProd_1278.png
InfProd_1279.png
cos[0]
1
InfProd_1280.png
InfProd_1281.png
InfProd_1282.png
InfProd_1283.png
InfProd_1284.png
InfProd_1285.png
InfProd_1286.png
InfProd_1287.png
InfProd_1288.png
InfProd_1289.png
cos[0]
1
InfProd_1290.png
InfProd_1291.png
InfProd_1292.png
InfProd_1293.png
InfProd_1294.png
InfProd_1295.png
InfProd_1296.png
InfProd_1297.png
InfProd_1298.png
InfProd_1299.png

Radicals for Cos[φ] up to π/2 are for example (in steps of π/24) :

InfProd_1300.png

InfProd_1301.png

or in steps of π/10 :

InfProd_1302.png

InfProd_1303.png

Note that 2 Cos[ π/5 ] and 2 Cos[ 2π/5 ] are equal to Φ (the golden ratio) and to its inverse.

Tan[π k/n], n = 2 to 8 (rows) and k = 1 to n - 1 (columns) :

InfProd_1304.png

ComplexInfinity
InfProd_1305.png InfProd_1306.png
1 ComplexInfinity -1
InfProd_1307.png InfProd_1308.png InfProd_1309.png InfProd_1310.png
InfProd_1311.png InfProd_1312.png ComplexInfinity InfProd_1313.png InfProd_1314.png
InfProd_1315.png InfProd_1316.png InfProd_1317.png InfProd_1318.png InfProd_1319.png InfProd_1320.png
InfProd_1321.png 1 InfProd_1322.png ComplexInfinity InfProd_1323.png -1 InfProd_1324.png

Cot[π k/n], n = 2 to 8 (rows) and k = 1 to n - 1 (columns) :

InfProd_1325.png

0
InfProd_1326.png InfProd_1327.png
1 0 -1
InfProd_1328.png InfProd_1329.png InfProd_1330.png InfProd_1331.png
InfProd_1332.png InfProd_1333.png 0 InfProd_1334.png InfProd_1335.png
InfProd_1336.png InfProd_1337.png InfProd_1338.png InfProd_1339.png InfProd_1340.png InfProd_1341.png
InfProd_1342.png 1 InfProd_1343.png 0 InfProd_1344.png -1 InfProd_1345.png

Some (special) special values :

InfProd_1346.png InfProd_1347.png
InfProd_1348.png InfProd_1349.png
InfProd_1350.png InfProd_1351.png

InfProd_1352.png

InfProd_1353.png InfProd_1354.png
InfProd_1355.png InfProd_1356.png
InfProd_1357.png InfProd_1358.png

InfProd_1359.png

InfProd_1360.png

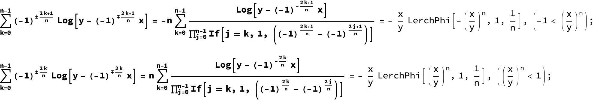
q Series: ( Back to Top )

(0 < q < 1); With InfProd_1361.png → Cosh[ k Log[ q ]] + Sinh[ k Log[ q ]] the following expressions can be transformed into sums of hyperbolic functions.

InfProd_1362.png

InfProd_1363.png

InfProd_1364.png

1
1 1
1 4 1
1 11 11 1
1 26 66 26 1
1 57 302 302 57 1

InfProd_1365.png

InfProd_1366.png

InfProd_1367.png

InfProd_1368.png

The appearing of n or n - 1 as summation stop index implies n ∈ N.

InfProd_1369.png

There is a small stumble stone in the definition of LerchPhi in the neighbourhood of a = 0: LerchPhi[q, n, a] = InfProd_1370.png, it changes for a = 0 abruptly to a different function InfProd_1371.png.

InfProd_1372.png

InfProd_1373.png

InfProd_1374.png

InfProd_1375.png

InfProd_1376.png

InfProd_1377.png

InfProd_1378.png

InfProd_1379.png

InfProd_1380.png

InfProd_1381.png

InfProd_1382.gif

InfProd_1383.gif

InfProd_1384.png

InfProd_1385.png

InfProd_1386.png

InfProd_1387.png

InfProd_1388.gif

InfProd_1389.png

InfProd_1390.png

InfProd_1391.png

InfProd_1392.gif

InfProd_1393.png

InfProd_1394.png

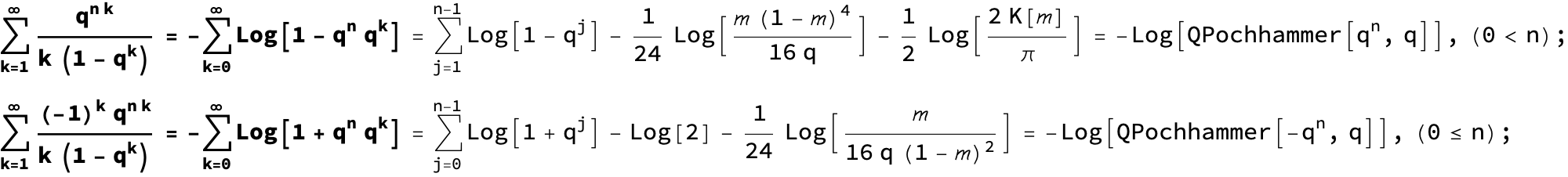
Using an identity from (R4) some series involving the Floor function can be solved  
( InfProd_1395.png[ 0 , q ] is an EllipticTheta function and 0 < q < 1) :

InfProd_1396.png

InfProd_1397.png

InfProd_1398.png

InfProd_1399.png

InfProd_1400.png

InfProd_1401.png

InfProd_1402.png

InfProd_1403.png

InfProd_1404.png

( m = InverseEllipticNomeQ[q], K[m] = EllipticK[m], E[m] = EllipticE[m] ):

InfProd_1405.png

InfProd_1406.png

InfProd_1407.png

InfProd_1408.png

InfProd_1409.png

InfProd_1410.png

InfProd_1411.png

InfProd_1412.png

InfProd_1413.gif

InfProd_1414.png

InfProd_1415.gif

InfProd_1416.png

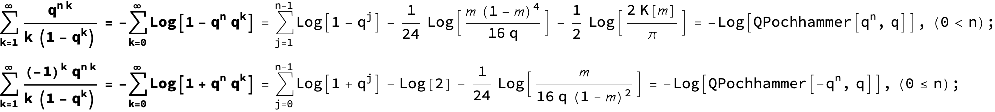
Lambert Type q Series:

InfProd_1417.png

InfProd_1418.png

InfProd_1419.png

InfProd_1420.gif

InfProd_1421.png

InfProd_1422.gif

InfProd_1423.gif

Some  Lambert series  containing  number theoretical  functions :

InfProd_1424.png

InfProd_1425.png

InfProd_1426.png

InfProd_1427.png

InfProd_1428.png

InfProd_1429.png

InfProd_1430.png

InfProd_1431.png

InfProd_1432.png

InfProd_1433.png

InfProd_1434.png

InfProd_1435.gif

InfProd_1436.png

InfProd_1437.gif

InfProd_1438.gif

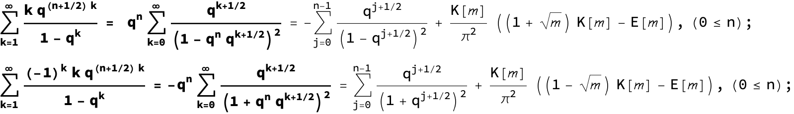
The introduction of QPolyGamma[n, z, q] (nth derivative of the QDigamma function (z, q)) in Mathematica 7 allows expression of

InfProd_1439.png

InfProd_1440.png

InfProd_1441.png

InfProd_1442.png

InfProd_1443.png

InfProd_1444.png

InfProd_1445.png

InfProd_1446.png

InfProd_1447.png

InfProd_1448.png

InfProd_1449.png

InfProd_1450.png

InfProd_1451.png

InfProd_1452.png

InfProd_1453.png

InfProd_1454.png

InfProd_1455.png

InfProd_1456.png

InfProd_1457.png

InfProd_1458.png

InfProd_1459.png

InfProd_1460.png

InfProd_1461.png

InfProd_1462.png

InfProd_1463.png

InfProd_1464.png

InfProd_1465.png

InfProd_1466.png

InfProd_1467.png

InfProd_1468.png

InfProd_1469.png

InfProd_1470.png

InfProd_1471.png

InfProd_1472.png

InfProd_1473.png

InfProd_1474.png

InfProd_1475.png

InfProd_1476.png

The next q - series (q → InfProd_1477.png) are connected to the Eisenstein SeriesInfProd_1478.png like (see https://mathworld.wolfram.com/EisensteinSeries.html)

InfProd_1479.png

InfProd_1480.png= 0 for odd 1 < n;

InfProd_1481.png

InfProd_1482.png

InfProd_1483.png

InfProd_1484.png

InfProd_1485.png

InfProd_1486.png

InfProd_1487.png

With q = InfProd_1488.png this kind of sum is

InfProd_1489.png

InfProd_1490.png

InfProd_1491.png

InfProd_1492.png

InfProd_1493.png

InfProd_1494.png

InfProd_1495.png

InfProd_1496.png

InfProd_1497.png

InfProd_1498.png

InfProd_1499.png

InfProd_1500.png

InfProd_1501.png

InfProd_1502.png

InfProd_1503.png

InfProd_1504.png

InfProd_1505.png

InfProd_1506.png

InfProd_1507.png

InfProd_1508.png

InfProd_1509.png

InfProd_1510.png

InfProd_1511.png

InfProd_1512.png

InfProd_1513.png

InfProd_1514.png

InfProd_1515.png

InfProd_1516.png

InfProd_1517.png

InfProd_1518.png

InfProd_1519.png

InfProd_1520.png

InfProd_1521.png

InfProd_1522.png

InfProd_1523.png

InfProd_1524.png

InfProd_1525.png

InfProd_1526.png

InfProd_1527.png

InfProd_1528.png

InfProd_1529.png

InfProd_1530.png

InfProd_1531.png

InfProd_1532.png

InfProd_1533.png

InfProd_1534.png

InfProd_1535.png

For 0.2 < q is in good approximation :

InfProd_1536.png

InfProd_1537.png

InfProd_1538.png

InfProd_1539.png

InfProd_1540.png

InfProd_1541.png

InfProd_1542.png

InfProd_1543.png

InfProd_1544.png

InfProd_1545.png

InfProd_1546.png

InfProd_1547.png

InfProd_1548.png

InfProd_1549.png

InfProd_1550.png

InfProd_1551.png

InfProd_1552.png

InfProd_1553.png

InfProd_1554.png

InfProd_1555.png

InfProd_1556.png

InfProd_1557.png

InfProd_1558.png

InfProd_1559.png

InfProd_1560.png

InfProd_1561.png

InfProd_1562.png

InfProd_1563.png

InfProd_1564.png

InfProd_1565.png

InfProd_1566.png

InfProd_1567.png

InfProd_1568.png

InfProd_1569.png

InfProd_1570.png

InfProd_1571.png

InfProd_1572.png

InfProd_1573.png

InfProd_1574.png

InfProd_1575.png

InfProd_1576.png

InfProd_1577.png

InfProd_1578.png

InfProd_1579.png

InfProd_1580.png

InfProd_1581.png

InfProd_1582.png

InfProd_1583.png

InfProd_1584.png

InfProd_1585.png

InfProd_1586.png

InfProd_1587.png

InfProd_1588.png

InfProd_1589.png

InfProd_1590.png

InfProd_1591.png

InfProd_1592.png

InfProd_1593.png

InfProd_1594.png

InfProd_1595.png

InfProd_1596.png

InfProd_1597.png

InfProd_1598.png

InfProd_1599.png

InfProd_1600.png

InfProd_1601.png

InfProd_1602.png

InfProd_1603.png

InfProd_1604.png

InfProd_1605.png

InfProd_1606.png

InfProd_1607.png

InfProd_1608.png

InfProd_1609.png

InfProd_1610.png

InfProd_1611.png

InfProd_1612.png

InfProd_1613.png

InfProd_1614.png

InfProd_1615.png

InfProd_1616.png

InfProd_1617.png

InfProd_1618.png

InfProd_1619.png

InfProd_1620.png

InfProd_1621.png

InfProd_1622.png

InfProd_1623.png

InfProd_1624.png

InfProd_1625.png

InfProd_1626.png

InfProd_1627.png

InfProd_1628.png

InfProd_1629.png

InfProd_1630.png

InfProd_1631.png

InfProd_1632.png

InfProd_1633.png

InfProd_1634.png

InfProd_1635.png

InfProd_1636.png

InfProd_1637.png

InfProd_1638.png

InfProd_1639.png

InfProd_1640.png

InfProd_1641.png

InfProd_1642.png

InfProd_1643.png

InfProd_1644.png

InfProd_1645.png

InfProd_1646.png

InfProd_1647.png

InfProd_1648.png

InfProd_1649.png

InfProd_1650.png

InfProd_1651.png

InfProd_1652.png

InfProd_1653.png

InfProd_1654.png

InfProd_1655.png

InfProd_1656.png

InfProd_1657.png

InfProd_1658.png

InfProd_1659.png

InfProd_1660.png

InfProd_1661.png

InfProd_1662.png

InfProd_1663.png

InfProd_1664.gif

InfProd_1665.png

InfProd_1666.png

InfProd_1667.png

InfProd_1668.png

InfProd_1669.gif

InfProd_1670.png

InfProd_1671.png

InfProd_1672.png

InfProd_1673.png

InfProd_1674.png

InfProd_1675.png

InfProd_1676.png

InfProd_1677.png

InfProd_1678.png

InfProd_1679.png

InfProd_1680.png

InfProd_1681.png

InfProd_1682.png

InfProd_1683.png

InfProd_1684.gif

InfProd_1685.png

InfProd_1686.png

InfProd_1687.png

InfProd_1688.png

InfProd_1689.png

InfProd_1690.png

InfProd_1691.png

InfProd_1692.png

InfProd_1693.png

InfProd_1694.png

InfProd_1695.png

InfProd_1696.png

InfProd_1697.png

InfProd_1698.png

InfProd_1699.png

InfProd_1700.png

InfProd_1701.png

InfProd_1702.png

InfProd_1703.png

InfProd_1704.png

InfProd_1705.png

InfProd_1706.png

other :

InfProd_1707.png

InfProd_1708.png

InfProd_1709.png

InfProd_1710.png

InfProd_1711.png

InfProd_1712.png

InfProd_1713.png

InfProd_1714.png

InfProd_1715.png

InfProd_1716.png

InfProd_1717.png

InfProd_1718.png

InfProd_1719.png

InfProd_1720.png

InfProd_1721.png

InfProd_1722.png

InfProd_1723.png

InfProd_1724.png

InfProd_1725.png

InfProd_1726.png

InfProd_1727.png

InfProd_1728.png

InfProd_1729.png

QFunction Identities :

InfProd_1730.png

InfProd_1731.png

InfProd_1732.png

InfProd_1733.png

InfProd_1734.png

InfProd_1735.png

InfProd_1736.png

InfProd_1737.png

Special values of QPolyGamma :

InfProd_1738.png

InfProd_1739.png

InfProd_1740.png

InfProd_1741.png

InfProd_1742.png

InfProd_1743.gif

InfProd_1744.png

InfProd_1745.png

InfProd_1746.png

InfProd_1747.png

InfProd_1748.png

InfProd_1749.png

InfProd_1750.png

InfProd_1751.png

InfProd_1752.png

InfProd_1753.png

InfProd_1754.png

InfProd_1755.png

InfProd_1756.png

InfProd_1757.png

InfProd_1758.png

InfProd_1759.png

InfProd_1760.gif

InfProd_1761.png

InfProd_1762.png

InfProd_1763.png

InfProd_1764.png

InfProd_1765.png

InfProd_1766.png

InfProd_1767.png

InfProd_1768.png

InfProd_1769.png

InfProd_1770.png

InfProd_1771.png

InfProd_1772.png

InfProd_1773.png

InfProd_1774.png

InfProd_1775.png

InfProd_1776.png

InfProd_1777.png

InfProd_1778.png

InfProd_1779.png

InfProd_1780.png

InfProd_1781.png

InfProd_1782.png

InfProd_1783.png

InfProd_1784.png

InfProd_1785.png

InfProd_1786.png

InfProd_1787.png

InfProd_1788.png

InfProd_1789.png

InfProd_1790.png

InfProd_1791.png

InfProd_1792.png

(2*) - (1*) = (3*)

InfProd_1793.png

InfProd_1794.png

InfProd_1795.png

InfProd_1796.png

InfProd_1797.png

InfProd_1798.png

InfProd_1799.png

InfProd_1800.png

InfProd_1801.png

InfProd_1802.png

InfProd_1803.png

InfProd_1804.png

InfProd_1805.png

InfProd_1806.png

InfProd_1807.png

InfProd_1808.png

InfProd_1809.png

InfProd_1810.png

InfProd_1811.png

InfProd_1812.png

InfProd_1813.png

InfProd_1814.png

InfProd_1815.png

InfProd_1816.gif

InfProd_1817.png

InfProd_1818.png

InfProd_1819.png

InfProd_1820.png

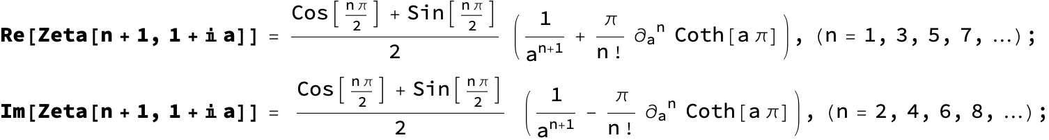
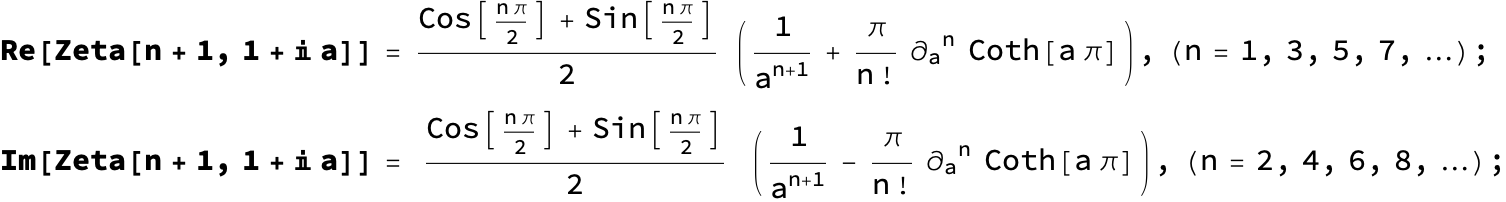
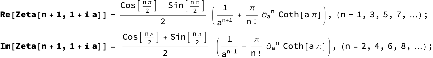
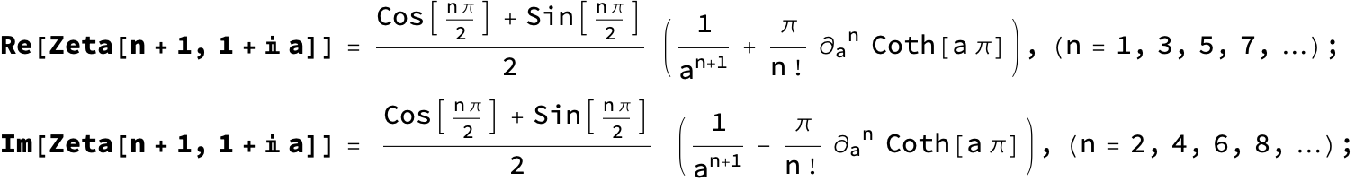
With x ∈ Reals is   InfProd_1821.png

InfProd_1822.png
Real Part Imaginary Part
n=1: InfProd_1823.png 0
n=2: InfProd_1824.png InfProd_1825.png
n=3: InfProd_1826.png InfProd_1827.png
n=4: InfProd_1828.png InfProd_1829.png
n=5: InfProd_1830.png InfProd_1831.png
n=6: InfProd_1832.png InfProd_1833.png
n=7: InfProd_1834.png InfProd_1835.png

InfProd_1836.png

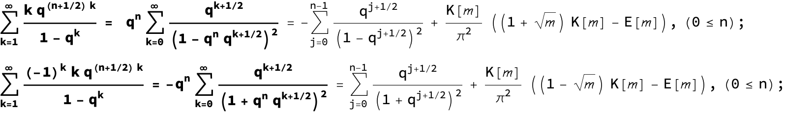
special values of EllipticK and EllipticE:   ( Back to Top )

K[m] is EllipticK[m];

InfProd_1837.png

E[m] is EllipticE[m];

InfProd_1838.png

InfProd_1839.png

InfProd_1840.png

InfProd_1841.png

InfProd_1842.png

InfProd_1843.png

InfProd_1844.png

InfProd_1845.png

InfProd_1846.png

InfProd_1847.png

InfProd_1848.png

InfProd_1849.png

InfProd_1850.png

InfProd_1851.png

InfProd_1852.png

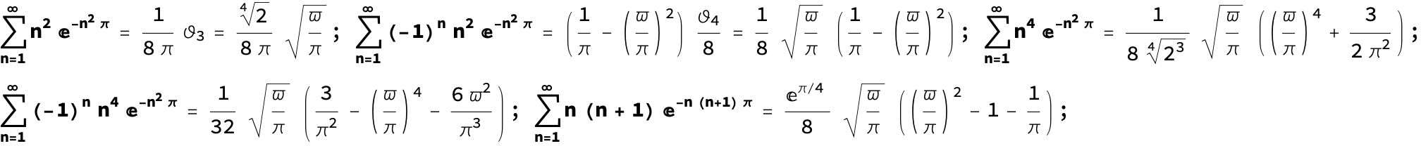
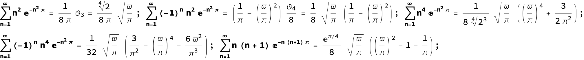
Series of Hyperbolic Functions:   ( Back to Top )

InfProd_1853.png

InfProd_1854.png

InfProd_1855.png

InfProd_1856.png

InfProd_1857.gif

InfProd_1858.gif

InfProd_1859.png

InfProd_1860.png

InfProd_1861.png

InfProd_1862.png

ϑ ‘’ represents the second derivative of ϑ (x,q) with respect to x, eg: InfProd_1863.png means InfProd_1864.png.

InfProd_1865.png

InfProd_1866.png

InfProd_1867.png

InfProd_1868.png

InfProd_1869.png

InfProd_1870.png

The following series containing λ converge very fast with increasing λ :

InfProd_1871.png

InfProd_1872.png

InfProd_1873.png

InfProd_1874.png

InfProd_1875.png

InfProd_1876.png

InfProd_1877.png

InfProd_1878.png

InfProd_1879.png

InfProd_1880.png

InfProd_1881.png

InfProd_1882.png

InfProd_1883.png

InfProd_1884.png

InfProd_1885.png

InfProd_1886.png

InfProd_1887.png

InfProd_1888.png

InfProd_1889.png

InfProd_1890.png

InfProd_1891.png

InfProd_1892.png

InfProd_1893.png

InfProd_1894.png

InfProd_1895.png

InfProd_1896.png

InfProd_1897.png

InfProd_1898.png

InfProd_1899.png

InfProd_1900.png

InfProd_1901.png

InfProd_1902.png

InfProd_1903.png

InfProd_1904.png

Some Jacobi elliptic functions :

InfProd_1905.png

InfProd_1906.png

InfProd_1907.png

InfProd_1908.gif

InfProd_1909.png

Special values :

InfProd_1910.png

Hyperbolic series involving the lemniscate functions :

ϖ is the lemniscate constant :

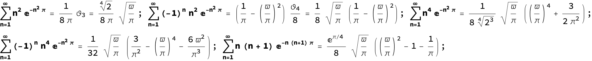
InfProd_1911.png

InfProd_1912.png

Connected to the above series are fast converging expansions of special elliptic functions that equal sl[x] and cl[x], the lemniscate sine and cosine, useful for numeric computation of sl and cl :

InfProd_1913.gif

The first 5 Taylor coefficients of the sum representing sl for increasing index m, see sequence A104203 in OEIS (1, -12, 3024, -4390848, 21224560896,...) :

InfProd_1914.png

0 1.0494342235. -11.900183700. 3023.8648359. -4.3909020798.*^6 2.1224555712.*^10
3 0.99999600967. -12.000008223. 3023.9999831. -4.3908480000.*^6 2.1224560896.*^10
6 1.0000000003. -11.999999999. 3024.0000000. -4.3908480000.*^6 2.1224560896.*^10
9 1.000000000. -12.000000000. 3024.0000000. -4.3908480000.*^6 2.1224560896.*^10

The first 8 Taylor coefficients of the sum representing cl for increasing index m, compare sequence A159600 in OEIS (1, -1, 3, -27, 441, -11529, 442827, -23444883,... but beware,  A159600 excludes a factorInfProd_1915.png needed to obtain the series for cl) :

InfProd_1916.png

0 1.0412730250. -1.0296444931. 3.0214068820. -27.016199247. 441.01703299. -11529.047467. 442827.26751. -2.3444884804.*^7
3 0.99999666957. -0.99999760952. 2.9999982842. -26.999998768. 440.99999912. -11528.999999. 442827.00000. -2.3444883000.*^7
6 1.0000000003. -1.0000000002. 3.0000000001. -27.000000000. 441.00000000. -11529.000000. 442827.00000. -2.3444883000.*^7
9 1.000000000. -1.000000000. 3.0000000000. -27.000000000. 441.00000000. -11529.000000. 442827.00000. -2.3444883000.*^7

Near the real axis the lemniscate functions may be described by Fourier series :

InfProd_1917.gif

InfProd_1918.png

Ramanujan's Cos/Cosh identity :

InfProd_1919.png

The approximation of the the next two series to the lemniscate functions in the area  around the origin improves with the number of included terms in the numerical evaluation (more terms or ‘building blocks‘ cover a larger domain):

InfProd_1920.png

InfProd_1921.png

InfProd_1922.png

InfProd_1923.png

The 'four horsemen of the apocalypse':

InfProd_1924.png

InfProd_1925.png

W A I T !  Have you noticed the beauty of  the series above? The alternating sum of shifted 1/Cosh functions gives the lemniscate cosine, the alternating sum of shifted 1/Sinh functions gives 1/(lemniscate sine)... Isn’t that incredible?

InfProd_1926.png

InfProd_1927.png

InfProd_1928.png

InfProd_1929.png

InfProd_1930.png

InfProd_1931.png

InfProd_1932.png

InfProd_1933.png

InfProd_1934.png

InfProd_1935.png

InfProd_1936.png

InfProd_1937.png

InfProd_1938.png

InfProd_1939.png

The next two series results show a sign flip at every other integer interval in y, shifted by 1/2, due to the complex square root. This switch of sign is taken into account by the factor (-1)^Floor[ y - 1/2 ].

InfProd_1940.png

InfProd_1941.png

InfProd_1942.png

InfProd_1943.png

InfProd_1944.png

InfProd_1945.png

InfProd_1946.png

The QPolyGamma 'monsters' :

InfProd_1947.png

InfProd_1948.png

InfProd_1949.png

InfProd_1950.png

InfProd_1951.png

InfProd_1952.png

InfProd_1953.png

InfProd_1954.png

InfProd_1955.png

InfProd_1956.png

InfProd_1957.png

m = InverseEllipticNomeQ[InfProd_1958.png] :

InfProd_1959.png

InfProd_1960.png

InfProd_1961.png

InfProd_1962.png

InfProd_1963.png

InfProd_1964.png

InfProd_1965.png

InfProd_1966.png

InfProd_1967.png

InfProd_1968.png

InfProd_1969.png

InfProd_1970.png

InfProd_1971.png

InfProd_1972.png

InfProd_1973.png

InfProd_1974.png

InfProd_1975.png

InfProd_1976.png

InfProd_1977.png

InfProd_1978.png

InfProd_1979.png

InfProd_1980.png

InfProd_1981.png

InfProd_1982.png

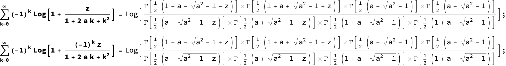
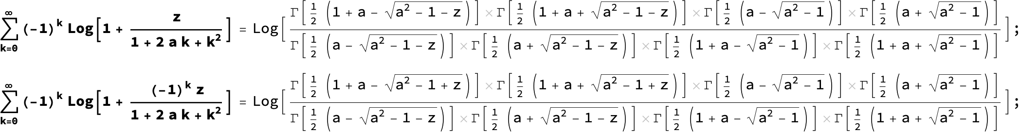
The next expression uses an idea taken from Weiss, J.D.(2014) The Summation of One Class of Infinite Series. Applied Mathematics, 5, 2815 - 2822. http://dx.doi.org/10.4236/am.2014.517269 :

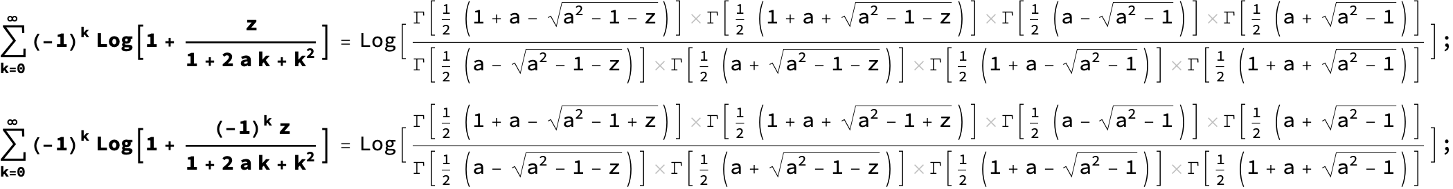
InfProd_1983.png

both series approach - Log[2] from either below (Coth) or above (Tanh) for increasing z .

InfProd_1984.png

InfProd_1985.png

InfProd_1986.png

InfProd_1987.png

InfProd_1988.png

InfProd_1989.png

InfProd_1990.png

InfProd_1991.png

InfProd_1992.png

both series above approach z / (1 - z) from either below (Tanh) or above (Coth) for 1 < x.

InfProd_1993.png

InfProd_1994.png

both series above approach PolyLog[-j,z] from either below (Tanh) or above (Coth) for 1 < x.

InfProd_1995.png

InfProd_1996.png

InfProd_1997.png

InfProd_1998.png

m = InverseEllipticNomeQ[InfProd_1999.png] :

InfProd_2000.png

InfProd_2001.png

The real parts of the next four series are well defined for (-1 < x). The real parts for 0 < x and the imaginary Parts for all x converge very fast for small m.

InfProd_2002.png

InfProd_2003.png

InfProd_2004.png

InfProd_2005.png

InfProd_2006.png

InfProd_2007.png

InfProd_2008.png

InfProd_2009.png

InfProd_2010.png

InfProd_2011.png

InfProd_2012.png

InfProd_2013.png

InfProd_2014.png

InfProd_2015.png

InfProd_2016.png

InfProd_2017.png

InfProd_2018.png

InfProd_2019.png

InfProd_2020.png

InfProd_2021.png

InfProd_2022.png

InfProd_2023.png

InfProd_2024.png

InfProd_2025.png

InfProd_2026.png

InfProd_2027.png

InfProd_2028.png

InfProd_2029.png

InfProd_2030.png

InfProd_2031.png

InfProd_2032.png

InfProd_2033.png

InfProd_2034.png

InfProd_2035.png

InfProd_2036.png

InfProd_2037.png

m = InverseEllipticNomeQ[InfProd_2038.png] :

InfProd_2039.png

InfProd_2040.png

InfProd_2041.png

InfProd_2042.png

InfProd_2043.png

InfProd_2044.png

Some hyperbolic Identities :

InfProd_2045.png

InfProd_2046.png

InfProd_2047.gif

InfProd_2048.gif

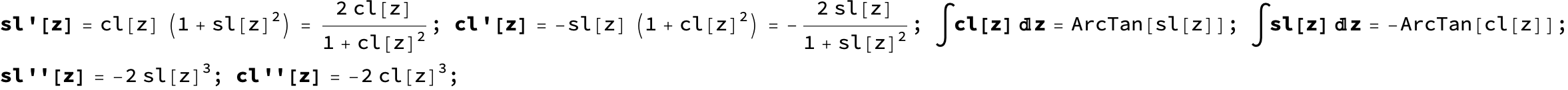
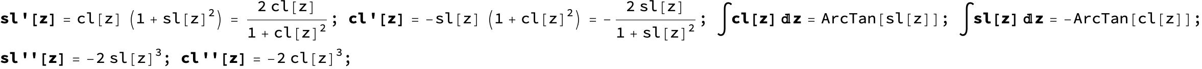
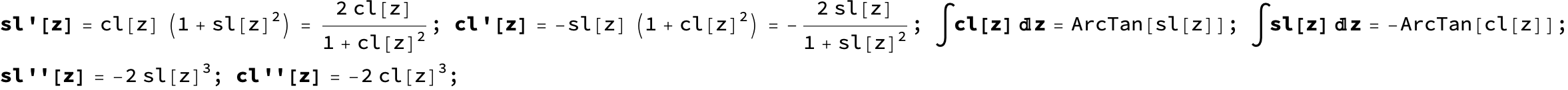
Some Lemniscate Sine and Cosine Identities including derivative and integral:

Periods :

InfProd_2049.png

Dual sibling of the Pythagorean Identity InfProd_2050.png) :

InfProd_2051.png

InfProd_2052.png

Special values :

InfProd_2053.png

InfProd_2054.png

InfProd_2055.png

InfProd_2056.png

InfProd_2057.png

Argument addition formulae :

InfProd_2058.png

Imaginary, negative and double arguments :

InfProd_2059.png

Squares :

InfProd_2060.png

Derivatives and basic integrals :

InfProd_2061.gif

From the argument addition formulae for the lemniscate functions taking  dx small with sl[dx] = dx and cl[dx] = 1 we get the derivative as sl'[x] =InfProd_2062.png (sl[x + dx] - sl[x])/dx = cl[x] (1 + InfProd_2063.png) and likewise for cl'[x].
The integrals may then so be checked by calculating the derivatives of their right hand sides. The expressions show some similarity (duality) with their trigonometric counterparts.

For more integrals of the lemniscate functions scroll to the bottom of Table of indefinite integrals given here: http://www-elsa.physik.uni-bonn.de/~dieckman/IntegralsIndefinite/IndefInt.html

The following identities can be verified using the imaginary and symmetry properties of sl and cl given above.

InfProd_2064.png

Complex properties :

InfProd_2065.png

Product approximations to the lemniscate functions (for 0 < m both better than InfProd_2066.png for all x, they  converge more than twice as fast as the already fast converging series given above in the section) :

InfProd_2067.png

The ‘lemniscatic tangent’ is then represented by :

InfProd_2068.png

Lemniscate functions as special cases  InfProd_2069.png of Jacobi elliptic functions  or Neville theta functions:

InfProd_2070.png

InfProd_2071.png

Series of CosIntegral:   ( Back to Top )

InfProd_2072.png

InfProd_2073.png

InfProd_2074.png

InfProd_2075.png

InfProd_2076.png

InfProd_2077.png

InfProd_2078.png

InfProd_2079.png

InfProd_2080.png

InfProd_2081.png

InfProd_2082.png

InfProd_2083.png

InfProd_2084.png

InfProd_2085.png

Sums involving reciprocal multifactorials or factorials:   ( Back to Top )

InfProd_2086.png

InfProd_2087.png

InfProd_2088.png

InfProd_2089.png

InfProd_2090.png

InfProd_2091.png

InfProd_2092.png

For even m = 2j  the right hand side reduces to

InfProd_2093.png

InfProd_2094.png

Higher multifactorials :

In the next equations j designates the number of ! within the multifactorial InfProd_2095.png, γ[a, b] is the lower incomplete Gamma Function Γ[a, 0, b] = InfProd_2096.png .

InfProd_2097.png

InfProd_2098.png

InfProd_2099.png

InfProd_2100.png

InfProd_2101.png

InfProd_2102.png

InfProd_2103.png

InfProd_2104.png

InfProd_2105.png

Expressions for still higher orders of k may be obtained by applying InfProd_2106.png to both sides of the equation.

The general expression at x = ±1 is, using recursionally defined coefficients  InfProd_2107.png and InfProd_2108.png (the factor after InfProd_2109.png shows the series result for n = 0) :

InfProd_2110.png

where the recursions

InfProd_2111.png

and

InfProd_2112.png

give the integers InfProd_2113.png and InfProd_2114.png, needed for the calculation of the sum above .

The coefficients obtained with low indices j, n (j counting rows from 1 to 8, n counting columns from 0 to 9) are shown here for the regular sum (+1) and the alternating sum (-1):

InfProd_2115.png

InfProd_2116.png

The numbers InfProd_2117.png and InfProd_2118.png represent the Bell numbers BellB[n, 1] and the complementary Bell numbers BellB[n, -1].

InfProd_2119.png

InfProd_2120.png

InfProd_2121.png

Bell' s polynomes are connected to Stirling numbers of the second kind :

InfProd_2122.png

or  may be calculated as higher derivatives of the exponential function : BellB[n, z] InfProd_2123.png  :

InfProd_2124.png

1 1 1 1
z z z -z
InfProd_2125.png InfProd_2126.png InfProd_2127.png InfProd_2128.png
InfProd_2129.png InfProd_2130.png InfProd_2131.png InfProd_2132.png
InfProd_2133.png InfProd_2134.png InfProd_2135.png InfProd_2136.png
InfProd_2137.png InfProd_2138.png InfProd_2139.png InfProd_2140.png
InfProd_2141.png InfProd_2142.png InfProd_2143.png InfProd_2144.png

InfProd_2145.png

InfProd_2146.png

InfProd_2147.png

A completely crazy series :

InfProd_2148.png

The expression in large brackets represents a polynomial in y and InfProd_2149.png of degree n with integer coefficients.

The sum over s above containing Stirling Numbers of the second kind has this structure:

InfProd_2150.png

and appears in a special combinatorics problem :
It calculates the count of possible ways InfProd_2151.png to distribute a number of a differently colored Balls into b indistinguishable Boxes, so that each box contains two balls or more (see A008299 in OEIS).
The triangular table below lists, how many configurations exist for a = 4 … 20 balls (row#) to go into b = 2 … a/2 boxes (column#), min. 2 per box,
also known as associated Stirling numbers of the second kind :

Table[BB[a, b], {a, 4, 14}, {b, 2, Floor[a/2]}] // TableForm

3
10
25 15
56 105
119 490 105
246 1918 1260
501 6825 9450 945
1012 22935 56980 17325
2035 74316 302995 190575 10395
4082 235092 1487200 1636635 270270
8177 731731 6914908 12122110 4099095 135135

As an aside:
These numbers can also be computed from sums containing products of binomial coefficients (‘n choose k’), divided possibly by factorials as explained in the following example :

Consider 8 differently colored balls to go into 3 boxes. First find IntegerPartitions  of 8 into 3 integers to see the possible partitions of the balls into the boxes :

IntegerPartitions[8, {3}]

InfProd_2152.png

Select the partitions with every element larger than one → {4, 2, 2} and {3, 3, 2} . Start by putting 4 balls into any empty box (8 choose 4, Binomial[8, 4] possibilities)  AND choose 2 balls for another empty box (Binomial[8-4, 2])  AND again 2 balls for the last empty box (Binomial[8-4-2, 2]). Multiply (AND condition) the binomials. Since two elements are equal (2, 2), divide this term by 2!.
Now add  (OR condition) the term from the next partition: put 3 balls into one empty box (Binomial[8, 3])  AND 3 balls in another empty box (Binomial[8-3, 3])  AND again 2 balls into the last empty box (Binomial[8-3-3, 2]) and multiply. Divide also this term by the factorial of the number of equal elements. The first argument of the binomials shows the number of ‘unboxed’ balls still to choose from, the second argument contains the element of the partition. All binomials (each corresponds to a box) of a partition are multiplied and (as the possible arrangements of  boxes with an equal number of balls inside are not distinguished)  divided by the factorial of their multiplicity :

InfProd_2153.png

This result corresponds to triangle entry (a = 8, b = 3) .

The ‘crazy’ series above has been looked at in more detail in : Vigren E .; Dieckmann A .; A New Result in Form of Finite Triple Sums for a Series from Ramanujan' s Notebooks . Symmetry 2022, 14, 1090.

InfProd_2154.png

InfProd_2155.png

Higher powers of the factorial in the denominator :

InfProd_2156.gif

Replace InfProd_2157.png with InfProd_2158.png and InfProd_2159.png  with InfProd_2160.png
as well as  InfProd_2161.png with InfProd_2162.png if all symbolic expressions are to be kept strictly real .
The numerical evaluation  of the results above should work over the whole x - range anyway , cancelling possibly imaginary contributions.

Expressions for still higher orders of k above may be obtained by applying (InfProd_2163.png) to both sides of the equation .

The solution of the general series seems more complicated with a single, but quite messy hypergeometric function, (Table[n,k] with k ≤ 0 gives the empty set {}):

InfProd_2164.png

There are cases, where this bulky result may be reduced to simpler functions :
For 2 < m   and for low j the series is given by Mathematica as a somewhat shorter hypergeometric function than in the general case above :

0 = j :

InfProd_2165.png

0 < j < m:

InfProd_2166.png

m ≤ j :
These can be done at the point x = ±1, where a recursion may be calculated, via the next relation that decomposes a reciprocal multifactorial sum containing InfProd_2167.pnginto sums of powers InfProd_2168.png less than InfProd_2169.png:

InfProd_2170.png

and the recursion for the coefficients c is given by :

InfProd_2171.png

obtained with the Mathematica code in the next line …(adapt the signs for the alternating case):

InfProd_2172.png

For example with n = 6, m = 3 :

InfProd_2173.png

InfProd_2174.png

The InfProd_2175.pngs are then :

InfProd_2176.png

1 0 0 1 1 1 2 6 17
0 1 0 0 1 2 3 5 12
0 0 1 0 0 1 3 6 11

Now with s = {0, 1, 2} there is

InfProd_2177.png

InfProd_2178.png

so that the recursionally defined sum yields :

InfProd_2179.png

while Mathematica gives:

InfProd_2180.png

In this way one may derive from the two expressions above reductions of a more complicated hypergeometric function into a series of simpler ones like:

HypergeometricPFQ[{2, 2, 2}, {1, 1, 1, 1, 1}, 1] = 2  HypergeometricPFQ[{}, {1, 1}, 1] + 3 HypergeometricPFQ[{}, {2, 2}, 1] + 3 HypergeometricPFQ[{}, {1, 2}, 1];

The following  identity (valid for all {m, n ∈ N}) expresses the sum without recursion in terms of sums with exponents of k that are reduced from n to ≤ n-m :

InfProd_2181.png

The  highest exponent of InfProd_2182.png appearing in the recursion above is: if (n < m)  then {s = n} else {s = Min[n-m, m-1]}.

For m = 2 the situation is easier, because all sums (0 ≤ n)InfProd_2183.png can be expressed with Bessel functions through the recursion (see above, set again x = 1)
as linear combinations of the one or two lowest results in the regular case with { {j = 0, BesselI[0, 2]}, {j = 1, BesselI[1, 2]} } up to n = 15:

InfProd_2184.png

1 0 1 1 2 5 13 36 109 359 1266 4731 18657 77464 337681 1540381
0 1 0 1 2 4 10 29 90 295 1030 3838 15168 63117 275252 1254801
n InfProd_2185.png
0 BesselI[0,2]
1 BesselI[1,2]
2 BesselI[0,2]
3 BesselI[0,2]+BesselI[1,2]
4 2 BesselI[0,2]+2 BesselI[1,2]
5 5 BesselI[0,2]+4 BesselI[1,2]
6 13 BesselI[0,2]+10 BesselI[1,2]
7 36 BesselI[0,2]+29 BesselI[1,2]
8 109 BesselI[0,2]+90 BesselI[1,2]
9 359 BesselI[0,2]+295 BesselI[1,2]
10 1266 BesselI[0,2]+1030 BesselI[1,2]
11 4731 BesselI[0,2]+3838 BesselI[1,2]
12 18657 BesselI[0,2]+15168 BesselI[1,2]
13 77464 BesselI[0,2]+63117 BesselI[1,2]
14 337681 BesselI[0,2]+275252 BesselI[1,2]
15 1540381 BesselI[0,2]+1254801 BesselI[1,2]

or in the alternating case with { {j = 0, BesselJ[0, 2]}, {j = 1, - BesselJ[1, 2]} }:

InfProd_2186.png

1 0 -1 -1 0 3 9 16 7 -87 -472 -1567 -3375 -216 45927 308107
0 1 0 -1 -2 -2 2 17 54 109 54 -796 -5000 -19499 -52252 -44617
n InfProd_2187.png
0 BesselJ[0,2]
1 -BesselJ[1,2]
2 -BesselJ[0,2]
3 -BesselJ[0,2]+BesselJ[1,2]
4 2 BesselJ[1,2]
5 3 BesselJ[0,2]+2 BesselJ[1,2]
6 9 BesselJ[0,2]-2 BesselJ[1,2]
7 16 BesselJ[0,2]-17 BesselJ[1,2]
8 7 BesselJ[0,2]-54 BesselJ[1,2]
9 -87 BesselJ[0,2]-109 BesselJ[1,2]
10 -472 BesselJ[0,2]-54 BesselJ[1,2]
11 -1567 BesselJ[0,2]+796 BesselJ[1,2]
12 -3375 BesselJ[0,2]+5000 BesselJ[1,2]
13 -216 BesselJ[0,2]+19499 BesselJ[1,2]
14 45927 BesselJ[0,2]+52252 BesselJ[1,2]
15 308107 BesselJ[0,2]+44617 BesselJ[1,2]

A generalization to powers of multifactorials :

InfProd_2188.png

where two recursions are needed:

InfProd_2189.gif

InfProd_2190.png

The series

InfProd_2191.png

converge very fast (the terms k > 3 contribute less than InfProd_2192.png) . For m = 3  the terms give :

InfProd_2193.png

With n = 0 the first sum and (InfProd_2194.png- the second sum) are very close to the  Pomerance Number  1.25002143347...(A100085 in Oeis).

Multiple Sums (lattice sums) :   ( Back to Top )

Factorial :

InfProd_2195.png

InfProd_2196.png

InfProd_2197.png

InfProd_2198.png

InfProd_2199.png

InfProd_2200.png

InfProd_2201.png

InfProd_2202.png

InfProd_2203.png

InfProd_2204.png

InfProd_2205.png

InfProd_2206.png

InfProd_2207.png

InfProd_2208.png

InfProd_2209.png

InfProd_2210.png

InfProd_2211.png

InfProd_2212.png

InfProd_2213.png

InfProd_2214.png

InfProd_2215.png

InfProd_2216.png

InfProd_2217.png

InfProd_2218.png

InfProd_2219.png

InfProd_2220.png

InfProd_2221.png

InfProd_2222.png

InfProd_2223.png

InfProd_2224.png

InfProd_2225.png

InfProd_2226.png

InfProd_2227.png

InfProd_2228.png

InfProd_2229.png

Borwein' s formula :

InfProd_2230.png

Benson' s formula :

InfProd_2231.png

The sum for all {m, n} < 5 gives a very good approximation .

InfProd_2232.png

InfProd_2233.png

InfProd_2234.png

InfProd_2235.png

InfProd_2236.png

InfProd_2237.png

InfProd_2238.png

InfProd_2239.png

InfProd_2240.png

InfProd_2241.png

InfProd_2242.png

InfProd_2243.png

InfProd_2244.png

InfProd_2245.png

For the next three series see https://www.davidhbailey.com/dhbpapers/PoissonLattice.pdf :

InfProd_2246.png

InfProd_2247.png

InfProd_2248.png

InfProd_2249.png

InfProd_2250.png

InfProd_2251.png

InfProd_2252.png

InfProd_2253.png

InfProd_2254.png

InfProd_2255.png

The approximations for the first two sums in the two following lines are for 2 < m better than 10^-10, the Cot Csc term corresponds to the dominant j = 0 term in the double sum.

InfProd_2256.png

InfProd_2257.png

InfProd_2258.png

Double series involving lemniscate sine and cosine :

InfProd_2259.png

InfProd_2260.png

InfProd_2261.png

Both sums above show only asymmetric convergence, i.e.  the range of summation index i must be much larger than the one of j, the convergence of the imaginary part is faster.

InfProd_2262.png

Some values of Eisenstein series :

InfProd_2263.png

InfProd_2264.gif

The coefficients of InfProd_2265.png written as hn[4s], (s = 2, 3,…) are called Hurwitz numbers and may be calculated by the following recurrence:

InfProd_2266.png

InfProd_2267.png

or directly by :

InfProd_2268.png

InfProd_2269.png

InfProd_2270.png

InfProd_2271.png

For s = 6, 10, 14, … the right hand side of the equation above yields zero.

InfProd_2272.png

InfProd_2273.png

For s = 6, 10, 14, …  at x = 0 the right hand side of the equation above yields zero.

InfProd_2274.png

InfProd_2275.png

InfProd_2276.png

InfProd_2277.png

In the next two lines a good numerical comparison is for s=1 is reached if the range of index m is set  >>  than the range of index n:

InfProd_2278.png

InfProd_2279.png

InfProd_2280.png

InfProd_2281.png

InfProd_2282.png

InfProd_2283.png

InfProd_2284.png

InfProd_2285.png

InfProd_2286.png

InfProd_2287.png

InfProd_2288.png

InfProd_2289.png

InfProd_2290.png

InfProd_2291.png

InfProd_2292.png

InfProd_2293.png

InfProd_2294.png

InfProd_2295.png

InfProd_2296.png

InfProd_2297.png

InfProd_2298.png

InfProd_2299.png

InfProd_2300.png

some of the next series appear also in electrostatic problems, see
Vigren E.; Dieckmann A.; Simple Solutions of Lattice Sums for Electric Fields Due to Infinitely Many Parallel Line Charges. Symmetry 2020, 12, 1040.

InfProd_2301.png

InfProd_2302.png

InfProd_2303.png

InfProd_2304.png

InfProd_2305.png

InfProd_2306.png

InfProd_2307.png

The encounter of lemniscate functions with electrostatics suggests a tribute to C. F. Gauss, who paved the way for a better understanding of so many problems.

InfProd_2308.png

InfProd_2309.png

InfProd_2310.png

The next double Series converges (asymmetric convergence) best numerically if i >> j.

InfProd_2311.png

Series involving the Zeta function :

InfProd_2312.png

InfProd_2313.png

InfProd_2314.png

InfProd_2315.png

InfProd_2316.gif

InfProd_2317.png

InfProd_2318.png

InfProd_2319.png

InfProd_2320.png

InfProd_2321.png

InfProd_2322.png

InfProd_2323.png

InfProd_2324.png

Multiple Series involving functions akin to the Zeta function :

InfProd_2325.gif

InfProd_2326.png

For a few values of s = 2 to 6 (rows) and m = 1 to s - 1 (columns) the expansions of the right hand side above are given :

InfProd_2327.png
Zeta[3] InfProd_2328.png
InfProd_2329.png InfProd_2330.png InfProd_2331.png
Zeta[5] InfProd_2332.png InfProd_2333.png InfProd_2334.png
InfProd_2335.png InfProd_2336.png InfProd_2337.png InfProd_2338.png InfProd_2339.png

InfProd_2340.png

For a few values of s = 3 to 7 (rows) and m = 1 to s - 2 (columns) the expansions of the right hand side above are given :

InfProd_2341.png
Zeta[3] InfProd_2342.png
InfProd_2343.png InfProd_2344.png InfProd_2345.png
Zeta[5] InfProd_2346.png InfProd_2347.png InfProd_2348.png
InfProd_2349.png InfProd_2350.png InfProd_2351.png InfProd_2352.png InfProd_2353.png

InfProd_2354.png

For  a  few  values  of  s = 1  to  6  (rows)  and  m = 1  to  6  (columns)  the  expansions  of  the  right  hand  side  above  are  given  according  to  the  table  with the limit (for s = 1 the values correspond to regularized sums):

InfProd_2355.png

InfProd_2356.png
InfProd_2357.png
InfProd_2358.png
InfProd_2359.png
InfProd_2360.png
InfProd_2361.png
-Log[2]
InfProd_2362.png
InfProd_2363.png
InfProd_2364.png
InfProd_2365.png
InfProd_2366.png
InfProd_2367.png
InfProd_2368.png
InfProd_2369.png
InfProd_2370.png
InfProd_2371.png
InfProd_2372.png
InfProd_2373.png
InfProd_2374.png
InfProd_2375.png
InfProd_2376.png
InfProd_2377.png
InfProd_2378.png
InfProd_2379.png
InfProd_2380.png
InfProd_2381.png
InfProd_2382.png
InfProd_2383.png
InfProd_2384.png
InfProd_2385.png
InfProd_2386.png
InfProd_2387.png
InfProd_2388.png
InfProd_2389.png
InfProd_2390.png

InfProd_2391.png

For a few values of s = 2 to 7 (rows) and m = 1 to s - 1 (columns) the expansions of the right hand side above are given :

InfProd_2392.png
Zeta[3] InfProd_2393.png
InfProd_2394.png Zeta[3] InfProd_2395.png
Zeta[5] InfProd_2396.png InfProd_2397.png InfProd_2398.png
InfProd_2399.png Zeta[5] InfProd_2400.png InfProd_2401.png InfProd_2402.png
Zeta[7] InfProd_2403.png InfProd_2404.png InfProd_2405.png InfProd_2406.png InfProd_2407.png

The notation InfProd_2408.pngmeans that the divergent term 1/0 is excluded :

InfProd_2409.png

For a few values of  s = 1 to 6 (rows) and m = 1 to 5 (columns)  the expansions of the right hand side above are given :

Log[2] InfProd_2410.png InfProd_2411.png InfProd_2412.png InfProd_2413.png
InfProd_2414.png InfProd_2415.png InfProd_2416.png InfProd_2417.png InfProd_2418.png
InfProd_2419.png InfProd_2420.png InfProd_2421.png InfProd_2422.png InfProd_2423.png
InfProd_2424.png InfProd_2425.png InfProd_2426.png InfProd_2427.png InfProd_2428.png
InfProd_2429.png InfProd_2430.png InfProd_2431.png InfProd_2432.png InfProd_2433.png
InfProd_2434.png InfProd_2435.png InfProd_2436.png InfProd_2437.png InfProd_2438.png

InfProd_2439.png

where the number of numerically equal summands  InfProd_2440.png) in the first sum is counted by the multiplicity factor in brackets within the second sum;

InfProd_2441.png

For low  m the  expansion of  the hypergeometric result  above  is  given :

InfProd_2442.png

InfProd_2443.png

s controls the number of ‘slots’ inside the curly brackets of the Hypergeometric function, e.g. :

s = 4; HypergeometricPFQ[Join[Table[1, {k, 1, s}], {m}], Table[2, {k, 1, s}], -1]

InfProd_2444.png

For a few values of  s = 1 to 6 (rows) and m = 1 to 5 (columns) the expansions of the hypergeometric result above are given :

Table[HypergeometricPFQ[Join[Table[1, {k, 1, s}], {m}], Table[2, {k, 1, s}], -1], {s, 1, 6}, {m, 1, 5}] // FullSimplify // PowerExpand // Expand // TableForm

InfProd_2445.png InfProd_2446.png InfProd_2447.png InfProd_2448.png InfProd_2449.png
InfProd_2450.png InfProd_2451.png InfProd_2452.png InfProd_2453.png InfProd_2454.png
InfProd_2455.png InfProd_2456.png InfProd_2457.png InfProd_2458.png InfProd_2459.png
InfProd_2460.png InfProd_2461.png InfProd_2462.png InfProd_2463.png InfProd_2464.png
InfProd_2465.png InfProd_2466.png InfProd_2467.png InfProd_2468.png InfProd_2469.png
InfProd_2470.png InfProd_2471.png InfProd_2472.png InfProd_2473.png InfProd_2474.png

InfProd_2475.png

For a few values of s = 1 to 7 (rows) and m = 1 to 5 (columns)  the  results for the series above are given using a limit, that avoids ‘indeterminate’ answers.
Now the multiplicity of numerically equal summands  InfProd_2476.png) is accounted for by Binomial[k - 1, m - 1]:

InfProd_2477.png

-Log[2] InfProd_2478.png InfProd_2479.png InfProd_2480.png InfProd_2481.png
InfProd_2482.png InfProd_2483.png InfProd_2484.png InfProd_2485.png InfProd_2486.png
InfProd_2487.png InfProd_2488.png InfProd_2489.png InfProd_2490.png InfProd_2491.png
InfProd_2492.png InfProd_2493.png InfProd_2494.png InfProd_2495.png InfProd_2496.png
InfProd_2497.png InfProd_2498.png InfProd_2499.png InfProd_2500.png InfProd_2501.png
InfProd_2502.png InfProd_2503.png InfProd_2504.png InfProd_2505.png InfProd_2506.png
InfProd_2507.png InfProd_2508.png InfProd_2509.png InfProd_2510.png InfProd_2511.png

InfProd_2512.png

For the lowest values of s and m the regularized sum is:

InfProd_2513.png

and and in addition with x = -1 :

InfProd_2514.png

InfProd_2515.png

For the lowest values of s and m the regularized sum is:

InfProd_2516.png

InfProd_2517.png

InfProd_2518.png

to  evaluate  this  sum  numerically  set  the  argument  of  the  Hypergeometric ' 1 ' to ‘ 1 - InfProd_2519.png ';

For the lowest values of s and m the sum above is :

InfProd_2520.png

InfProd_2521.png

to  evaluate  this  sum  numerically  set ' m'  to ‘ m +InfProd_2522.png ' and  the  argument  of  the  Hypergeometric ' 1'  to ‘ 1 -InfProd_2523.png ';

For the lowest values of s and m the sum with the binomial factors is :

InfProd_2524.png

InfProd_2525.png

Results of the above sum for low  m  values are shown as  sums of LerchPhi  functions ( if  x = - 1 then for s < m the sum needs to be regularized using “Abel”) :

InfProd_2526.png

InfProd_2527.png

Results  of  the  above  sum  for  low   m   values  are  shown  as   sums  of  LerchPhi   functions  ( if   x = - 1  then  for  s < m  the  sum  needs  to  be  regularized  using  "Abel") :

InfProd_2528.png

InfProd_2529.png

Results  for low  s (row), m (column)  values  are :

InfProd_2530.png

InfProd_2531.png InfProd_2532.png InfProd_2533.png
InfProd_2534.png InfProd_2535.png InfProd_2536.png

Special care has to be taken in case  s = 1 at  x = -1.  The  numerical  sum  converges  only  in  the  limit  to  the  regularized  result :

InfProd_2537.png

InfProd_2538.png

InfProd_2539.png

InfProd_2540.png

InfProd_2541.png

InfProd_2542.png

To  evaluate  the  hypergeometric  function  numerically  set  ' m '  to ' m + InfProd_2543.png' .
Results for low m  values  are  shown  in  terms  of  Lerch' s  function :

InfProd_2544.png

InfProd_2545.png

To  evaluate  the  hypergeometric  function  numerically  set  ' m '  to ‘ m +InfProd_2546.png’ .
Results for low m  values  are  shown  in  terms  of  Lerch’ s  function :

InfProd_2547.png

Many of the series found in this table are connected to a 'lattice version' like (try it!) :

InfProd_2548.png

For instance  (find an identity with start index 0, replace  kInfProd_2549.png ,  insert the Gammas, the m - 1 factorial  and sum over all i's) :

InfProd_2550.png

For a series  InfProd_2551.png starting with index 1 it is a little more involved, because the first lattice summand will be InfProd_2552.png :

InfProd_2553.png

So (for example) the lattice version of

InfProd_2554.png

InfProd_2555.png

Lattice q - sums :

InfProd_2556.png

InfProd_2557.png

InfProd_2558.png

InfProd_2559.png

Following ideas of (R4) look at the m-dimensional lattice sum

InfProd_2560.png

where the summands characterized by  InfProd_2561.png = k occur with a certain multiplicity InfProd_2562.png given by

InfProd_2563.png

This tells the number of ways to express k as a sum of m integers InfProd_2564.png (how often a certain term ' k' occurs) ,
for instance  (k = 3, m = 2; 4 ways) : 3 = 0 + 3 or 3 + 0 or 1 + 2 or 2 + 1.
Then the lattice sum can be reduced to a single sum like

InfProd_2565.png

which gives after multiplication with (m - 1)! and evaluation

InfProd_2566.png

This identity can be used to successively get values of InfProd_2567.png. It  determines InfProd_2568.png at m = 3:

InfProd_2569.png

Expanding the sum over (k+2) shows InfProd_2570.png and InfProd_2571.png, and if it is assumed that InfProd_2572.png = 1/2 (regularization), then it follows that InfProd_2573.png = - 1/4.

For m = n + 2 the sum reads :

InfProd_2574.png

The product inside the sum may be decomposed into a double series of StirlingS1 numbers :

InfProd_2575.png

2+k 2+k
InfProd_2576.png InfProd_2577.png
InfProd_2578.png InfProd_2579.png
InfProd_2580.png InfProd_2581.png
InfProd_2582.png InfProd_2583.png

Isolating the term in (**) with the highest exponent (set the stop index in the sum over j in the table to n - 1) now allows a recursive calculation of the InfProd_2584.pnglike:

InfProd_2585.png

InfProd_2586.png

Shown above are the InfProd_2587.png for n from 0 to 10 together with the results of corresponding Mathematica sums employing ' Abel' regularization as well as the symbolic Zeta given at the start of the paragraph.

InfProd_2588.png

diverse Series :   ( Back to Top )

InfProd_2589.png

InfProd_2590.png

InfProd_2591.png

InfProd_2592.png

InfProd_2593.png

InfProd_2594.png

InfProd_2595.png

InfProd_2596.png

InfProd_2597.png

InfProd_2598.png

InfProd_2599.png

InfProd_2600.png

InfProd_2601.png

InfProd_2602.png

InfProd_2603.png

The appearing of n or m as summation stop index implies n, m ∈ N.

InfProd_2604.png

InfProd_2605.png

InfProd_2606.png

InfProd_2607.png

InfProd_2608.png

InfProd_2609.png

InfProd_2610.png

InfProd_2611.png

InfProd_2612.png

InfProd_2613.png

InfProd_2614.png

InfProd_2615.png

InfProd_2616.png

( Zeta[n - 1] - Zeta[n] = Zeta[n - 1, 0] - Zeta[n, 0] = Zeta[n - 1, 1] - Zeta[n, 1] = Zeta[n - 1, 2] - Zeta[n, 2],   Zeta[n,1] = Zeta[n,0] = Zeta[n] )

InfProd_2617.png

InfProd_2618.png

InfProd_2619.png

InfProd_2620.png

InfProd_2621.png

InfProd_2622.png

InfProd_2623.png

InfProd_2624.png

InfProd_2625.png

InfProd_2626.png

InfProd_2627.png

InfProd_2628.png

InfProd_2629.png

InfProd_2630.png

InfProd_2631.png

InfProd_2632.png

InfProd_2633.png

InfProd_2634.png

InfProd_2635.png

InfProd_2636.png

InfProd_2637.png

InfProd_2638.gif

InfProd_2639.png

InfProd_2640.png

InfProd_2641.png

InfProd_2642.png

InfProd_2643.png

InfProd_2644.png

InfProd_2645.png

Sum of the inverse m - gonal numbers :

InfProd_2646.png

InfProd_2647.png

Values of the series for the first m :

InfProd_2648.png

The sum of  integer powers  of the inverse m - gonal numbers :

InfProd_2649.png

The quadratic case m = 4, where the formula above gives an indeterminate result,  may be calculated as :

InfProd_2650.png

k - nomial triangles:

Generate the  k - nomial triangle  as coefficents of InfProd_2651.png:
(the mth coefficient in the nth row  gives the frequency of the sum of points with value m + n - 2, shown after a throw of n - 1  fair k-sided dice; displayed are the cases k = {2 bi-, 3 tri-, 4 quadrinomial}, up to n = 5)
InfProd_2652.gif

other series:

The sum  InfProd_2653.png  gives following results for some rational s = p/q :

InfProd_2654.png

InfProd_2655.png

InfProd_2656.png

InfProd_2657.png

InfProd_2658.gif

InfProd_2659.png

InfProd_2660.png

InfProd_2661.png

InfProd_2662.png

InfProd_2663.png

InfProd_2664.png

InfProd_2665.png

InfProd_2666.png

InfProd_2667.png

InfProd_2668.png

InfProd_2669.png

InfProd_2670.png

InfProd_2671.png

InfProd_2672.png

InfProd_2673.png

InfProd_2674.png

InfProd_2675.png

InfProd_2676.png

InfProd_2677.png

InfProd_2678.png

InfProd_2679.png

InfProd_2680.png

InfProd_2681.png

InfProd_2682.png

InfProd_2683.png

InfProd_2684.png

InfProd_2685.png

InfProd_2686.png

InfProd_2687.png

InfProd_2688.png

InfProd_2689.png

InfProd_2690.png

InfProd_2691.png

InfProd_2692.png

InfProd_2693.png

InfProd_2694.png

InfProd_2695.png

This sum alternates between ± π  for z ∈ N :

InfProd_2696.png

In the following 4 expressions b =InfProd_2697.png :

InfProd_2698.png

InfProd_2699.png

InfProd_2700.png

InfProd_2701.png

InfProd_2702.png

InfProd_2703.png

InfProd_2704.png

InfProd_2705.png

InfProd_2706.png

InfProd_2707.png

InfProd_2708.png

The next three expressions contain s = InfProd_2709.png and t = InfProd_2710.png:

InfProd_2711.png

InfProd_2712.png

InfProd_2713.png

InfProd_2714.png

InfProd_2715.png

InfProd_2716.png

InfProd_2717.png

InfProd_2718.png

InfProd_2719.png

InfProd_2720.png

InfProd_2721.png

InfProd_2722.png

InfProd_2723.png

InfProd_2724.png

InfProd_2725.png

InfProd_2726.png

InfProd_2727.png

InfProd_2728.png

InfProd_2729.png

InfProd_2730.png

InfProd_2731.png

During a visit in London Leibniz was asked by Huygens to evaluate the sum InfProd_2732.png. He knew about partial fraction decomposition (see next line) and solved it. (Hirsch, der berühmte Herr Leibniz : eine Biographie)

InfProd_2733.gif

InfProd_2734.png

InfProd_2735.png

InfProd_2736.png

InfProd_2737.png

InfProd_2738.png

InfProd_2739.png

InfProd_2740.png

InfProd_2741.png

InfProd_2742.png

InfProd_2743.png

InfProd_2744.png

InfProd_2745.png

InfProd_2746.png

The sum of  integer powers  of the inverse trigonal numbers :

InfProd_2747.png

InfProd_2748.png

InfProd_2749.png

InfProd_2750.png

InfProd_2751.png

InfProd_2752.png

InfProd_2753.png

InfProd_2754.png

InfProd_2755.png

InfProd_2756.png

InfProd_2757.png

InfProd_2758.png

InfProd_2759.png

InfProd_2760.png

InfProd_2761.png

InfProd_2762.png

InfProd_2763.png

InfProd_2764.png

InfProd_2765.png

InfProd_2766.png

InfProd_2767.png

InfProd_2768.png

InfProd_2769.png

InfProd_2770.png

InfProd_2771.png

InfProd_2772.png

InfProd_2773.png

InfProd_2774.png

InfProd_2775.png

InfProd_2776.png

InfProd_2777.png

InfProd_2778.png

InfProd_2779.png

InfProd_2780.png

InfProd_2781.png

InfProd_2782.png

InfProd_2783.png

InfProd_2784.png

InfProd_2785.png

InfProd_2786.png

InfProd_2787.png

InfProd_2788.png

InfProd_2789.png

InfProd_2790.png

InfProd_2791.png

Series of Logarithms :   ( Back to Top )

(m = InverseEllipticNomeQ[q], K[m] = EllipticK[m], E[m] = EllipticE[m]), the appearing of n or n - 1 as summation stop index implies n ∈ N.

InfProd_2792.png

InfProd_2793.png

InfProd_2794.png

InfProd_2795.png

InfProd_2796.png

InfProd_2797.png

InfProd_2798.png

InfProd_2799.png

InfProd_2800.png

InfProd_2801.png

InfProd_2802.png

InfProd_2803.png

InfProd_2804.png

InfProd_2805.png

InfProd_2806.png

InfProd_2807.png

InfProd_2808.png

InfProd_2809.png

InfProd_2810.png

InfProd_2811.png

InfProd_2812.png

InfProd_2813.png

InfProd_2814.png

InfProd_2815.png

InfProd_2816.png

InfProd_2817.png

InfProd_2818.png

InfProd_2819.png

InfProd_2820.png

InfProd_2821.png

InfProd_2822.png

InfProd_2823.png

InfProd_2824.png

InfProd_2825.png

InfProd_2826.png

InfProd_2827.png

InfProd_2828.gif

InfProd_2829.png

InfProd_2830.png

InfProd_2831.png

InfProd_2832.png

InfProd_2833.png

InfProd_2834.png

InfProd_2835.png

InfProd_2836.png

InfProd_2837.gif

InfProd_2838.png

InfProd_2839.png

InfProd_2840.png

InfProd_2841.png

InfProd_2842.png

InfProd_2843.png

InfProd_2844.png

InfProd_2845.png

InfProd_2846.png

InfProd_2847.png

InfProd_2848.png

InfProd_2849.png

InfProd_2850.png

InfProd_2851.png

InfProd_2852.png

InfProd_2853.png

InfProd_2854.png

InfProd_2855.png

InfProd_2856.png

InfProd_2857.png

InfProd_2858.png

InfProd_2859.png

InfProd_2860.png

InfProd_2861.png

InfProd_2862.png

InfProd_2863.png

InfProd_2864.png

InfProd_2865.png

InfProd_2866.png

InfProd_2867.png

InfProd_2868.png

InfProd_2869.png

InfProd_2870.png

InfProd_2871.png

InfProd_2872.png

InfProd_2873.png

InfProd_2874.png

InfProd_2875.png

InfProd_2876.png

InfProd_2877.png

InfProd_2878.png

InfProd_2879.png

InfProd_2880.png

InfProd_2881.png

InfProd_2882.png

InfProd_2883.png

InfProd_2884.png

InfProd_2885.png

InfProd_2886.png

InfProd_2887.png

InfProd_2888.png

InfProd_2889.png

InfProd_2890.png

InfProd_2891.png

InfProd_2892.png

InfProd_2893.png

InfProd_2894.png

InfProd_2895.png

InfProd_2896.png

InfProd_2897.png

InfProd_2898.png

InfProd_2899.png

InfProd_2900.png

InfProd_2901.png

InfProd_2902.png

InfProd_2903.png

Next is the 'Fountain' function, plot it in the range of -50 < z < 10 with parameter values of a between -3 and 1 !

InfProd_2904.png

InfProd_2905.png

InfProd_2906.png

InfProd_2907.gif

InfProd_2908.png

InfProd_2909.png

InfProd_2910.png

InfProd_2911.png

InfProd_2912.png

InfProd_2913.png

InfProd_2914.png

InfProd_2915.png

InfProd_2916.png

InfProd_2917.png

InfProd_2918.png

InfProd_2919.png

InfProd_2920.png

InfProd_2921.png

InfProd_2922.png

InfProd_2923.png

InfProd_2924.png

InfProd_2925.png

InfProd_2926.png

InfProd_2927.png

InfProd_2928.png

InfProd_2929.png

InfProd_2930.png

InfProd_2931.png

InfProd_2932.png

InfProd_2933.png

InfProd_2934.png

InfProd_2935.png

InfProd_2936.png

InfProd_2937.png

InfProd_2938.png

InfProd_2939.png

InfProd_2940.png

InfProd_2941.png

InfProd_2942.png

InfProd_2943.png

InfProd_2944.png

some of the next series appear also in electrostatic problems, see
Vigren E.; Dieckmann A. ; Simple Solutions of Lattice Sums for Electric Fields Due to Infinitely Many Parallel Line Charges. Symmetry 2020, 12, 1040.

InfProd_2945.png

Lattice Sums :

InfProd_2946.png

InfProd_2947.png

InfProd_2948.png

Exchange x ⇔ y in previous expression :

InfProd_2949.png

Derived from above series :

InfProd_2950.png

InfProd_2951.png

The double sum below leads to Green' s function for the Laplace Operator in two dimensions inside a rectangle with sides a and b, the point source being located at xq, yq :

InfProd_2952.png

InfProd_2953.png

Series over prime numbers :

InfProd_2954.png

InfProd_2955.png

InfProd_2956.png

Series of Inverse Tangents ( Arcustangent ) :   ( Back to Top )

(m = InverseEllipticNomeQ[q], K[m] = EllipticK[m], E[m] = EllipticE[m]), the appearing of n or n - 1 as summation stop index implies n ∈ N.

InfProd_2957.png

InfProd_2958.png

InfProd_2959.png

InfProd_2960.png

InfProd_2961.png

InfProd_2962.png

InfProd_2963.png

InfProd_2964.png

InfProd_2965.png

InfProd_2966.png

InfProd_2967.png

InfProd_2968.png

InfProd_2969.png

InfProd_2970.png

InfProd_2971.png

InfProd_2972.png

InfProd_2973.png

InfProd_2974.png

InfProd_2975.png

InfProd_2976.png

InfProd_2977.gif

InfProd_2978.png

InfProd_2979.png

InfProd_2980.png

LogGamma[z] is used, because it has a simpler branch structure than Log[Gamma[z]] and avoids many discontinuities.

InfProd_2981.png

InfProd_2982.png

InfProd_2983.png

InfProd_2984.png

InfProd_2985.png

InfProd_2986.png

InfProd_2987.png

InfProd_2988.png

InfProd_2989.png

InfProd_2990.png

InfProd_2991.png

InfProd_2992.png

InfProd_2993.png

InfProd_2994.png

InfProd_2995.png

InfProd_2996.png

InfProd_2997.png

InfProd_2998.png

InfProd_2999.png

InfProd_3000.png

InfProd_3001.png

InfProd_3002.png

InfProd_3003.png

InfProd_3004.png

InfProd_3005.png

InfProd_3006.png

InfProd_3007.png

InfProd_3008.png

InfProd_3009.png

InfProd_3010.png

InfProd_3011.png

InfProd_3012.png

InfProd_3013.png

InfProd_3014.png

InfProd_3015.png

InfProd_3016.png

InfProd_3017.png

InfProd_3018.png

InfProd_3019.png

InfProd_3020.png

InfProd_3021.png

InfProd_3022.png

InfProd_3023.png

InfProd_3024.png

InfProd_3025.png

InfProd_3026.png

InfProd_3027.png

InfProd_3028.gif

InfProd_3029.png

InfProd_3030.png

Lattice Sums :

InfProd_3031.png

InfProd_3032.png

Some ArcTan Identities :

InfProd_3033.gif

InfProd_3034.png

InfProd_3035.png

InfProd_3036.png

InfProd_3037.png

InfProd_3038.png

Special values :

InfProd_3039.png

Series of Bessel Functions :   ( Back to Top )

InfProd_3040.png

InfProd_3041.png

InfProd_3042.png

InfProd_3043.png

InfProd_3044.png

InfProd_3045.png

InfProd_3046.png

InfProd_3047.png

InfProd_3048.png

InfProd_3049.png

InfProd_3050.png

InfProd_3051.png

InfProd_3052.png

InfProd_3053.png

InfProd_3054.png

InfProd_3055.png

InfProd_3056.png

InfProd_3057.png

InfProd_3058.png

InfProd_3059.png

InfProd_3060.png

InfProd_3061.png

InfProd_3062.png

InfProd_3063.png

InfProd_3064.png

InfProd_3065.png

InfProd_3066.png

InfProd_3067.png

InfProd_3068.png

InfProd_3069.png

InfProd_3070.png

InfProd_3071.png

InfProd_3072.png

InfProd_3073.png

InfProd_3074.png

InfProd_3075.png

InfProd_3076.png

InfProd_3077.png

InfProd_3078.png

InfProd_3079.png

InfProd_3080.png

InfProd_3081.png

InfProd_3082.png

InfProd_3083.png

InfProd_3084.png

InfProd_3085.png

InfProd_3086.png

InfProd_3087.png

InfProd_3088.png

InfProd_3089.png

InfProd_3090.png

InfProd_3091.png

InfProd_3092.png

InfProd_3093.png

InfProd_3094.png

InfProd_3095.png

InfProd_3096.png

InfProd_3097.png

For numerical tests replace every ∞ in the results with the same (large enough) number.

InfProd_3098.png

InfProd_3099.png

InfProd_3100.png

InfProd_3101.png

InfProd_3102.png

InfProd_3103.png

InfProd_3104.png

InfProd_3105.png

InfProd_3106.png

InfProd_3107.png

InfProd_3108.png

InfProd_3109.png

InfProd_3110.png

InfProd_3111.png

InfProd_3112.png

InfProd_3113.png

InfProd_3114.png

InfProd_3115.png

InfProd_3116.png

InfProd_3117.png

InfProd_3118.png

InfProd_3119.png

InfProd_3120.png

InfProd_3121.png

InfProd_3122.png

InfProd_3123.png

InfProd_3124.png

InfProd_3125.png

InfProd_3126.png

InfProd_3127.png

InfProd_3128.png

InfProd_3129.png

InfProd_3130.png

InfProd_3131.png

InfProd_3132.png

InfProd_3133.png

InfProd_3134.png

InfProd_3135.png

InfProd_3136.png

InfProd_3137.png

InfProd_3138.png

InfProd_3139.png

InfProd_3140.png

InfProd_3141.png

InfProd_3142.png

InfProd_3143.png

InfProd_3144.png

InfProd_3145.png

InfProd_3146.png

InfProd_3147.png

Cases of Neumann' s addition theorem :

InfProd_3148.png

InfProd_3149.png

InfProd_3150.png

Cases of Graf' s addition theorem :

InfProd_3151.png

InfProd_3152.png

InfProd_3153.png

InfProd_3154.png

InfProd_3155.png

InfProd_3156.png

InfProd_3157.png

InfProd_3158.png

InfProd_3159.png

InfProd_3160.png

InfProd_3161.png

InfProd_3162.png

InfProd_3163.png

InfProd_3164.gif

InfProd_3165.png

InfProd_3166.png

InfProd_3167.png

InfProd_3168.png

InfProd_3169.png

InfProd_3170.png

InfProd_3171.png

Series of Legendre Polynomials :   ( Back to Top )

InfProd_3172.png

InfProd_3173.png

InfProd_3174.png

InfProd_3175.png

InfProd_3176.png

InfProd_3177.png

InfProd_3178.png

InfProd_3179.png

InfProd_3180.png

InfProd_3181.png

InfProd_3182.png

InfProd_3183.png

InfProd_3184.png

InfProd_3185.png

InfProd_3186.png

InfProd_3187.png

InfProd_3188.png

InfProd_3189.png

InfProd_3190.png

InfProd_3191.png

InfProd_3192.png

InfProd_3193.png

InfProd_3194.png

InfProd_3195.png

InfProd_3196.png

InfProd_3197.png

InfProd_3198.png

InfProd_3199.png

InfProd_3200.png

InfProd_3201.png

InfProd_3202.png

InfProd_3203.png

InfProd_3204.png

Special value :

InfProd_3205.png

Laguerre Polynomials:

InfProd_3206.png

InfProd_3207.png

InfProd_3208.png

InfProd_3209.png

InfProd_3210.png

InfProd_3211.png

InfProd_3212.png

Laguerre Polynomials with negative Index :

InfProd_3213.png

Series of Jacobi Polynomials :

InfProd_3214.png

InfProd_3215.png

Series of Hermite Polynomials :

InfProd_3216.png

InfProd_3217.png

InfProd_3218.png

InfProd_3219.png

InfProd_3220.png

InfProd_3221.png

InfProd_3222.png

InfProd_3223.png

InfProd_3224.png

Series of Zeta, PolyGamma, PolyLog and related :   ( Back to Top )

InfProd_3225.png

InfProd_3226.png

InfProd_3227.png

InfProd_3228.png

InfProd_3229.png

InfProd_3230.png

InfProd_3231.png

InfProd_3232.png

InfProd_3233.png

InfProd_3234.png

InfProd_3235.png

InfProd_3236.png

InfProd_3237.png

InfProd_3238.png

InfProd_3239.png

InfProd_3240.png

InfProd_3241.png

InfProd_3242.png

InfProd_3243.png

InfProd_3244.png

InfProd_3245.png

InfProd_3246.png

InfProd_3247.png

InfProd_3248.png

InfProd_3249.png

InfProd_3250.png

InfProd_3251.png

InfProd_3252.png

InfProd_3253.png

InfProd_3254.png

InfProd_3255.png

InfProd_3256.png

InfProd_3257.png

InfProd_3258.png

InfProd_3259.png

InfProd_3260.png

InfProd_3261.png

InfProd_3262.png

InfProd_3263.png

InfProd_3264.png

InfProd_3265.png

InfProd_3266.png

InfProd_3267.png

InfProd_3268.png

InfProd_3269.png

InfProd_3270.png

InfProd_3271.png

InfProd_3272.png

InfProd_3273.png

InfProd_3274.png

InfProd_3275.png

InfProd_3276.png

InfProd_3277.png

InfProd_3278.png

The next expression is an asymptotic approximation in s (better than 1 % ):

InfProd_3279.png

InfProd_3280.png

InfProd_3281.png

InfProd_3282.png

InfProd_3283.png

InfProd_3284.png

InfProd_3285.png

InfProd_3286.png

InfProd_3287.png

InfProd_3288.png

InfProd_3289.png

InfProd_3290.png

InfProd_3291.png

InfProd_3292.png

InfProd_3293.png

InfProd_3294.png

InfProd_3295.png

InfProd_3296.png

InfProd_3297.png

InfProd_3298.png

InfProd_3299.png

InfProd_3300.png

InfProd_3301.png

InfProd_3302.png

InfProd_3303.png

InfProd_3304.png

InfProd_3305.png

InfProd_3306.gif

Special Values of Zeta :

InfProd_3307.png

InfProd_3308.png

InfProd_3309.png

InfProd_3310.png

InfProd_3311.png

InfProd_3312.png

InfProd_3313.png

InfProd_3314.png

InfProd_3315.png

InfProd_3316.png

InfProd_3317.png

InfProd_3318.png

InfProd_3319.png

InfProd_3320.png

InfProd_3321.png

InfProd_3322.png

InfProd_3323.png

InfProd_3324.png

The polynomial summands come from :

InfProd_3325.png

InfProd_3326.png

InfProd_3327.gif

InfProd_3328.png

InfProd_3329.png

InfProd_3330.png

InfProd_3331.png

InfProd_3332.png

InfProd_3333.png

PolyGamma :

InfProd_3334.png

InfProd_3335.png

InfProd_3336.png

InfProd_3337.png

InfProd_3338.png

InfProd_3339.png

InfProd_3340.png

InfProd_3341.png

InfProd_3342.png

InfProd_3343.png

InfProd_3344.png

InfProd_3345.png

In[1]:=

Table[{s, -a!*x Derivative[Table[0, {2 + s}], Table[0, {s}]~Join~{1}, 0][HypergeometricPFQRegularized][Table[1, {s + 1}]~Join~{a + 1}, Table[2, {s}]~Join~{a + 1}, x]}, {s, 0, 4}] // TableForm

0 InfProd_3346.png
1 InfProd_3347.png
2 InfProd_3348.png
3 InfProd_3349.png
4 InfProd_3350.png

InfProd_3351.png

InfProd_3352.png

InfProd_3353.png

InfProd_3354.png

InfProd_3355.png

InfProd_3356.png

InfProd_3357.png

InfProd_3358.png

InfProd_3359.png

InfProd_3360.png

InfProd_3361.png

InfProd_3362.png

InfProd_3363.png

InfProd_3364.png

InfProd_3365.png

InfProd_3366.png

InfProd_3367.png

InfProd_3368.png

InfProd_3369.png

InfProd_3370.png

InfProd_3371.png

InfProd_3372.png

InfProd_3373.png

InfProd_3374.png

InfProd_3375.png

InfProd_3376.png

InfProd_3377.png

InfProd_3378.png

InfProd_3379.png

InfProd_3380.gif

InfProd_3381.png

InfProd_3382.png

InfProd_3383.png

InfProd_3384.png

InfProd_3385.png

InfProd_3386.png

InfProd_3387.png

InfProd_3388.png

InfProd_3389.png

InfProd_3390.png

InfProd_3391.png

InfProd_3392.png

InfProd_3393.png

PolyLog and  LerchPhi :

InfProd_3394.png

InfProd_3395.png

InfProd_3396.png

InfProd_3397.png

InfProd_3398.png

InfProd_3399.png

InfProd_3400.png

InfProd_3401.png

InfProd_3402.png

InfProd_3403.png

InfProd_3404.png

InfProd_3405.png

InfProd_3406.png

InfProd_3407.png

The sum inside the large brackets above gives the Eulerian numbers .

InfProd_3408.gif

InfProd_3409.png

InfProd_3410.png

InfProd_3411.png

InfProd_3412.png

InfProd_3413.png

InfProd_3414.gif

InfProd_3415.png

InfProd_3416.png

InfProd_3417.png

InfProd_3418.png

InfProd_3419.png

InfProd_3420.png

InfProd_3421.png

InfProd_3422.png

InfProd_3423.png

InfProd_3424.png

InfProd_3425.png

InfProd_3426.png

InfProd_3427.png

InfProd_3428.png

InfProd_3429.png

InfProd_3430.png

InfProd_3431.png

InfProd_3432.png

InfProd_3433.png

InfProd_3434.png

InfProd_3435.png

A nice telescoping sum :

InfProd_3436.png

InfProd_3437.png

InfProd_3438.png

InfProd_3439.png

InfProd_3440.png

InfProd_3441.png

InfProd_3442.png

InfProd_3443.png

InfProd_3444.png

InfProd_3445.png

InfProd_3446.png

InfProd_3447.png

InfProd_3448.png

InfProd_3449.png

InfProd_3450.png

InfProd_3451.png

InfProd_3452.png

InfProd_3453.png

InfProd_3454.png

InfProd_3455.png

InfProd_3456.png

InfProd_3457.png

InfProd_3458.png

InfProd_3459.png

InfProd_3460.png

InfProd_3461.png

InfProd_3462.png

InfProd_3463.png

InfProd_3464.png

InfProd_3465.png

InfProd_3466.png

InfProd_3467.png

From Reynolds’ LerchPhi equation (4.1) in https://arxiv.org/pdf/2306.12565.pdf :

InfProd_3468.png

InfProd_3469.png

InfProd_3470.png

InfProd_3471.png

InfProd_3472.png

InfProd_3473.png

InfProd_3474.png

InfProd_3475.png

InfProd_3476.png

InfProd_3477.png

InfProd_3478.png

InfProd_3479.png

InfProd_3480.png

InfProd_3481.png

InfProd_3482.png

InfProd_3483.png

InfProd_3484.png

InfProd_3485.png

InfProd_3486.png

InfProd_3487.png

InfProd_3488.png

InfProd_3489.png

InfProd_3490.png

InfProd_3491.png

InfProd_3492.png

InfProd_3493.png

InfProd_3494.png

InfProd_3495.png

InfProd_3496.png

InfProd_3497.png

InfProd_3498.png

InfProd_3499.png

InfProd_3500.png

InfProd_3501.png

Special Values of PolyLog and LerchPhi :

InfProd_3502.png

InfProd_3503.png

InfProd_3504.png

InfProd_3505.png

InfProd_3506.png

InfProd_3507.png

InfProd_3508.png

InfProd_3509.png

InfProd_3510.png

InfProd_3511.png

InfProd_3512.png

InfProd_3513.png

InfProd_3514.png

InfProd_3515.png

InfProd_3516.png

InfProd_3517.png

InfProd_3518.png

InfProd_3519.png

InfProd_3520.png

InfProd_3521.png

InfProd_3522.png

InfProd_3523.gif

InfProd_3524.png

Nielsen PolyLog :

InfProd_3525.png

InfProd_3526.png

InfProd_3527.png

InfProd_3528.gif

InfProd_3529.png

InfProd_3530.png

InfProd_3531.png

InfProd_3532.png

InfProd_3533.png

InfProd_3534.png

For  m ∈ N LerchPhi[ z, s, m] can be reduced to :

InfProd_3535.png

InfProd_3536.png

InfProd_3537.png

InfProd_3538.png

InfProd_3539.png

InfProd_3540.png

InfProd_3541.png

InfProd_3542.png

InfProd_3543.png

InfProd_3544.png

Series of Beta Functions :   ( Back to Top )

Recurrence relation : Beta[x, a + 1, b] + Beta[x, a, b + 1] = Beta[x, a, b];

InfProd_3545.png

InfProd_3546.png

InfProd_3547.png

InfProd_3548.png

InfProd_3549.png

InfProd_3550.png

InfProd_3551.png

InfProd_3552.png

InfProd_3553.png

InfProd_3554.png

InfProd_3555.png

InfProd_3556.png

InfProd_3557.png

InfProd_3558.png

InfProd_3559.png

InfProd_3560.png

InfProd_3561.png

InfProd_3562.png

InfProd_3563.png

InfProd_3564.png

InfProd_3565.png

InfProd_3566.png

InfProd_3567.png

InfProd_3568.png

InfProd_3569.png

InfProd_3570.png

InfProd_3571.png

InfProd_3572.png

InfProd_3573.png

InfProd_3574.png

InfProd_3575.png

InfProd_3576.png

InfProd_3577.png

InfProd_3578.png

InfProd_3579.png

InfProd_3580.png

InfProd_3581.png

InfProd_3582.png

InfProd_3583.png

InfProd_3584.png

InfProd_3585.png

Special  values  of  Beta related functions :

InfProd_3586.png

InfProd_3587.png

InfProd_3588.png

InfProd_3589.png

InfProd_3590.png

Series of Gamma Functions :   ( Back to Top )

InfProd_3591.png

InfProd_3592.png

InfProd_3593.png

InfProd_3594.png

InfProd_3595.png

InfProd_3596.png

InfProd_3597.png

InfProd_3598.png

InfProd_3599.png

InfProd_3600.png

InfProd_3601.png

InfProd_3602.png

InfProd_3603.png

InfProd_3604.png

InfProd_3605.png

InfProd_3606.png

Dougall' s Formula :

InfProd_3607.png

InfProd_3608.png

InfProd_3609.png

InfProd_3610.png

InfProd_3611.png

InfProd_3612.gif

InfProd_3613.png

InfProd_3614.png

InfProd_3615.png

InfProd_3616.png

InfProd_3617.png

InfProd_3618.png

InfProd_3619.png

InfProd_3620.png

InfProd_3621.png

InfProd_3622.png

InfProd_3623.png

InfProd_3624.png

InfProd_3625.png

InfProd_3626.png

InfProd_3627.png

InfProd_3628.png

InfProd_3629.png

InfProd_3630.png

InfProd_3631.png

note the offset of 1/2 that appears in the result of the second series above if a is set to 1.

InfProd_3632.png

InfProd_3633.png

InfProd_3634.png

InfProd_3635.png

InfProd_3636.png

InfProd_3637.png

InfProd_3638.png

The real part of the following Gamma series doesn' t converge :

InfProd_3639.png

InfProd_3640.png

InfProd_3641.png

InfProd_3642.png

InfProd_3643.png

InfProd_3644.png

InfProd_3645.png

InfProd_3646.png

InfProd_3647.png

InfProd_3648.png

InfProd_3649.png

InfProd_3650.png

InfProd_3651.png

InfProd_3652.png

InfProd_3653.png

InfProd_3654.png

InfProd_3655.png

Gamma Identities :

InfProd_3656.png

InfProd_3657.png

InfProd_3658.png

InfProd_3659.png

Special value of Gamma :

InfProd_3660.png

Special values of InverseGammaRegularized :

InfProd_3661.png

Series involving HarmonicNumber : ( Back To Top )

InfProd_3662.png

InfProd_3663.png

InfProd_3664.png

InfProd_3665.png

InfProd_3666.png

InfProd_3667.png

InfProd_3668.png

InfProd_3669.png

InfProd_3670.png

InfProd_3671.png

InfProd_3672.png

InfProd_3673.png

InfProd_3674.png

InfProd_3675.png

InfProd_3676.png

InfProd_3677.png

InfProd_3678.png

InfProd_3679.png

InfProd_3680.png

InfProd_3681.png

InfProd_3682.png

InfProd_3683.png

InfProd_3684.png

InfProd_3685.png

InfProd_3686.png

InfProd_3687.png

InfProd_3688.png

For n = 1 to 10    InfProd_3689.png is:

1: InfProd_3690.png -0.58224053
2: InfProd_3691.png -0.90797054
3: InfProd_3692.png -1.13055188
4: InfProd_3693.png -1.29927612
5: InfProd_3694.png -1.43505814
6: InfProd_3695.png -1.54863772
7: InfProd_3696.png -1.64624639
8: InfProd_3697.png -1.73181782
9: InfProd_3698.png -1.80799286
10: InfProd_3699.png -1.87662974

InfProd_3700.png

InfProd_3701.png

For n = 1 to 4     InfProd_3702.png is:

1: InfProd_3703.png 2.40411381
2: InfProd_3704.png 3.30565648
3: InfProd_3705.png 3.88459579
4: InfProd_3706.png 4.31204500

InfProd_3707.png

InfProd_3708.png

For n = 1 to 3     InfProd_3709.png is:

1: InfProd_3710.png -0.7512856
2: InfProd_3711.png -1.1496340
3: InfProd_3712.png -1.4185815

InfProd_3713.png

InfProd_3714.png

InfProd_3715.png

InfProd_3716.png

InfProd_3717.png

InfProd_3718.png

InfProd_3719.png

InfProd_3720.png

InfProd_3721.png

InfProd_3722.png

InfProd_3723.png

InfProd_3724.png

InfProd_3725.png

InfProd_3726.png

InfProd_3727.png

InfProd_3728.png

InfProd_3729.png

InfProd_3730.png

InfProd_3731.png

InfProd_3732.png

InfProd_3733.png

InfProd_3734.png

InfProd_3735.png

InfProd_3736.png

InfProd_3737.png

InfProd_3738.png

The notation in the Exponent of the hypergeometric function says : take the derivative with respect to the seventh argument and then give it the value 1 - a or 1 + a.

InfProd_3739.png

InfProd_3740.png

InfProd_3741.png

InfProd_3742.png

InfProd_3743.png

InfProd_3744.png

InfProd_3745.png

InfProd_3746.png

InfProd_3747.png

Series involving Hypergeometric Functions : ( Back to Top )

InfProd_3748.png

InfProd_3749.png

InfProd_3750.png

InfProd_3751.png

InfProd_3752.png

InfProd_3753.png

InfProd_3754.png

InfProd_3755.png

InfProd_3756.png

InfProd_3757.png

InfProd_3758.png

InfProd_3759.png

InfProd_3760.png

InfProd_3761.png

InfProd_3762.png

InfProd_3763.png

InfProd_3764.png

InfProd_3765.png

InfProd_3766.png

InfProd_3767.png

InfProd_3768.png

InfProd_3769.png

InfProd_3770.png

InfProd_3771.png

InfProd_3772.png

InfProd_3773.png

InfProd_3774.png

InfProd_3775.png

InfProd_3776.png

InfProd_3777.png

InfProd_3778.png

InfProd_3779.png

InfProd_3780.png

InfProd_3781.png

InfProd_3782.png

InfProd_3783.png

InfProd_3784.png

InfProd_3785.png

InfProd_3786.png

InfProd_3787.png

InfProd_3788.png

InfProd_3789.png

InfProd_3790.png

InfProd_3791.png

InfProd_3792.png

InfProd_3793.png

InfProd_3794.png

InfProd_3795.png

InfProd_3796.png

InfProd_3797.png

InfProd_3798.png

InfProd_3799.png

InfProd_3800.png

InfProd_3801.png

InfProd_3802.png

InfProd_3803.png

InfProd_3804.png

InfProd_3805.png

InfProd_3806.png

InfProd_3807.png

InfProd_3808.png

InfProd_3809.png

InfProd_3810.png

InfProd_3811.png

InfProd_3812.png

InfProd_3813.png

InfProd_3814.png

InfProd_3815.png

InfProd_3816.png

InfProd_3817.png

InfProd_3818.png

Hypergeometric  identity :

InfProd_3819.png

Special values:

InfProd_3820.png

InfProd_3821.png

InfProd_3822.png

InfProd_3823.png

InfProd_3824.png

Some Limits :   ( Back to Top )

InfProd_3825.png

InfProd_3826.png

InfProd_3827.gif

InfProd_3828.png

InfProd_3829.png

InfProd_3830.png

InfProd_3831.png

InfProd_3832.png

InfProd_3833.png

InfProd_3834.png

InfProd_3835.png

InfProd_3836.png

InfProd_3837.png

InfProd_3838.png

InfProd_3839.png

InfProd_3840.png

InfProd_3841.png

InfProd_3842.png

InfProd_3843.png

InfProd_3844.png

InfProd_3845.png

InfProd_3846.png

InfProd_3847.png

InfProd_3848.png

InfProd_3849.png

InfProd_3850.png

InfProd_3851.png

InfProd_3852.png

InfProd_3853.png

InfProd_3854.png

InfProd_3855.png

InfProd_3856.png

InfProd_3857.png

InfProd_3858.png

InfProd_3859.png

InfProd_3860.png

InfProd_3861.png

InfProd_3862.png

InfProd_3863.png

InfProd_3864.png

A few Integrals :   ( Back to Top )

InfProd_3865.png

Substitute  InfProd_3866.png   and the Feynman - Hibbs Integral

InfProd_3867.png

InfProd_3868.png

and derivatives :

InfProd_3869.png is the mth derivative with respect to a :

InfProd_3870.png

InfProd_3871.png

InfProd_3872.png

InfProd_3873.png

InfProd_3874.png

InfProd_3875.png

InfProd_3876.png

InfProd_3877.png

InfProd_3878.png

InfProd_3879.png

InfProd_3880.png

InfProd_3881.png

InfProd_3882.png

InfProd_3883.png

Iterated Expressions  ( Tetration ) :   ( Back to Top )

InfProd_3884.gif

InfProd_3885.png

InfProd_3886.gif

InfProd_3887.png

InfProd_3888.png

InfProd_3889.png

InfProd_3890.png

The above function f[x] = - ProductLog[-Log[x]] / Log[x] has a special 'swapping' symmetry of basis and exponent in its argument: InfProd_3891.png
f[x] is not defined beyond the maximum of its inverse function InfProd_3892.png, namely  InfProd_3893.png< x, so with this symmetry it is plausible that the exponential tower
doesn't converge for x < InfProd_3894.png as well, where it shows a kind of bifurcation.

Recursions :

The solution of the recursion { f[n] == a f[n - 1]  + b f[n - 2] + c,  f[0] == d,  f[1] == e } is

InfProd_3895.png

It satisfies the equations for the recursion :

{f[0] == d, f[1] == e, f[n] == a f[n - 1]  + b f[n - 2] + c} // Simplify

InfProd_3896.png

Special cases:

With parameters {a, b, c, d, e} = {1, 1, 0, 1, 1} this gives the Fibonacci Sequence :
Table[f[n] /. {a -> 1, b -> 1, c -> 0, d -> 1, e -> 1}, {n, 0, 10}] // N

{1.,1.,2.,3.,5.,8.,13.,21.,34.,55.,89.}

the Pell Sequence [2,1,0,0,1]:
Table[f[n] /. {a -> 2, b -> 1, c -> 0, d -> 0, e -> 1}, {n, 0, 10}] // N

{0.,1.,2.,5.,12.,29.,70.,169.,408.,985.,2378.}

the Lucas Sequence [1,1,0,2,1]:
Table[f[n] /. {a -> 1, b -> 1, c -> 0, d -> 2, e -> 1}, {n, 0, 10}] // N

{2.,1.,3.,4.,7.,11.,18.,29.,76.,123.}

or the Jacobsthal numbers [1,2,0,0,1]:

{0.,1.,1.,3.,5.,11.,21.,43.,85.,171.,341.}

Solve special recursions using a corresponding differential equation:

Consider recursions of the form f[k+1] = f[0] g[ f[k] ] + f[k] that converge to finite values for large k. They may sometimes be solved by using a differential equation.
If  f[0] ~ x/n, where some large k is  k ≤ n, then f[0] will be small and the differential equation to try to solve reads  y'[x] == g[ y[x] ] with boundary condition y[0] = x/n.
The recursion f[n] calculated starting from a certain value of x/n will then converge to y[x].
Several cases of g[ f[k] ] are presented.  All result in strictly monotonically increasing y[x] over their respective domain.
Verify that your selection of {a,b,c} and size of n is working out by numerical and graphical check,
(The value of n may have to be increased in some cases for better convergence; if the limit n→ ∞ leads to y = 0, keep n at a large but finite value as shown in the Sin[] and Tan[] example below):

InfProd_3897.png

The points of the recursion are iteratively calculated and can be subsequently plotted together with the result in this case like

InfProd_3898.gif

You may have to adapt the Plot ranges and intervals of x to the next exemplary cases :

InfProd_3899.png

InfProd_3900.png

InfProd_3901.png

InfProd_3902.png

InfProd_3903.png

InfProd_3904.png

InfProd_3905.png

InfProd_3906.png

InfProd_3907.png

InfProd_3908.png

InfProd_3909.png

InfProd_3910.png

InfProd_3911.png

InfProd_3912.png

InfProd_3913.png

InfProd_3914.png

InfProd_3915.png

InfProd_3916.png

InfProd_3917.png

InfProd_3918.png

InfProd_3919.png

Some Properties of ProductLog, LerchPhi and PolyLog   ( Back to Top )

For 1/e ≤ x    is ProductLog[ x Log[ x ]]        =    Log[ x ] .
For 0 ≤ x ≤ e    is ProductLog[ - Log[ x ] / x]    = - Log[ x ] .
For 0 ≤ x        is Log[ ProductLog[ x ] ]        =   Log[ x ] - ProductLog[ x ] .

InfProd_3920.png

InfProd_3921.png

InfProd_3922.png

InfProd_3923.png

InfProd_3924.png

1
1 2
1 8 6
1 22 58 24
1 52 328 444 120

InfProd_3925.png

For purely imaginary arguments (x ∈ R) the complex decomposition of LerchPhi is :

InfProd_3926.png

These carry over with a = 0 to PolyLog :

InfProd_3927.png

InfProd_3928.png

The imaginary part of LerchPhi[x, s, a] with 1 ≤ x ∈ R is given by :

InfProd_3929.png

And with a = 0 follows the imaginary part of PolyLog[ s, x] :

InfProd_3930.png

The complex decomposition of  InfProd_3931.png with 1 ≤ x ∈ R and 0 ≤ {b, s} ∈ N into real and imaginary part can be obtained by the following expression :

InfProd_3932.png

explicitly for low s and b = 2 :

InfProd_3933.png InfProd_3934.png
InfProd_3935.png InfProd_3936.png
InfProd_3937.png InfProd_3938.png
InfProd_3939.png InfProd_3940.png
InfProd_3941.png InfProd_3942.png
InfProd_3943.png InfProd_3944.png

For all z ∈ C not on the real axis in ( -∞ < z < 1) and 0 ≤ {b, s} ∈ N the following inversion identity holds
(the If statement inserts a '+' in case of an imaginary part of z larger than zero, a '-' in all other cases) :

InfProd_3945.png

The real part of  InfProd_3946.pngwith 1 ≤ x ∈ R is also given by

InfProd_3947.png

For (m ∈ N) is

InfProd_3948.png

Inversion identities :

InfProd_3949.png

InfProd_3950.png

InfProd_3951.png

InfProd_3952.png

InfProd_3953.png

InfProd_3954.png

InfProd_3955.png

InfProd_3956.png

With m above set to zero the relations for PolyLog appear with a possible (if 0 < z < 1) imaginary term of opposite sign.

The real and imaginary parts of LerchPhi[ InfProd_3957.png, 2, 1/2 ] (on the unit circle) are

InfProd_3958.png

With Clausen type functions for LerchPhi defined as

InfProd_3959.png

InfProd_3960.png

(0 < s ∈ Integer, 0 ≤ θ ≤ 2π, the even CLi and the odd SLi are expressible through Euler Polynomials),
the real and imaginary parts of InfProd_3961.pngInfProd_3962.png (on the unit circle) are

InfProd_3963.png

the expressions for InfProd_3964.png with lowest s being

InfProd_3965.png InfProd_3966.png
InfProd_3967.png InfProd_3968.png
InfProd_3969.png InfProd_3970.png
InfProd_3971.png InfProd_3972.png
InfProd_3973.png InfProd_3974.png
InfProd_3975.png InfProd_3976.png

The above polynomials in a make nice approximations to trigonometric functions, getting better with increasing s.
The first non polynomial partner functions are found to be

InfProd_3977.png

The function InfProd_3978.png has an interesting derivative :

InfProd_3979.png

that means the lower CLi and SLi are essentially derivatives of the higher ones.

With the LerchPhi index n being a negative Integer the function appears as a rational function :

InfProd_3980.png

With the PolyLog index being a negative Integer the function appears as a rational function :

InfProd_3981.png

With Clausen type functions defined as

InfProd_3982.png

InfProd_3983.png

(0 < s ∈ Integer, 0 ≤ θ ≤ 2π,  the even Ci and the odd Si are expressible through Bernoulli Polynomials),
the real and imaginary parts of InfProd_3984.png (on the unit circle) are

InfProd_3985.png

the expressions for InfProd_3986.png with lowest s being

InfProd_3987.png

The above polynomials in a make nice approximations to trigonometric functions, getting better with increasing s :

InfProd_3988.png

As before the derivative InfProd_3989.pngInfProd_3990.pngis InfProd_3991.png with lowered index.
The first non polynomial partner functions are found to be

InfProd_3992.png

The complex decomposition of  PolyLog[s, x] with 1 ≤ x ∈ R and 0 ≤ s ∈ N can be obtained by the following expression :

InfProd_3993.png

explicitly for low s :

InfProd_3994.png InfProd_3995.png
InfProd_3996.png InfProd_3997.png
InfProd_3998.png InfProd_3999.png
InfProd_4000.png InfProd_4001.png
InfProd_4002.png InfProd_4003.png
InfProd_4004.png InfProd_4005.png
InfProd_4006.png InfProd_4007.png

For real x < 1  is :

InfProd_4008.png

InfProd_4009.png Log[x]-Log[1-x]-i π
InfProd_4010.png InfProd_4011.png
InfProd_4012.png InfProd_4013.png
InfProd_4014.png InfProd_4015.png
InfProd_4016.png InfProd_4017.png
InfProd_4018.png InfProd_4019.png

For all z ∈ C and not on the real axis in ( 0 ≤ z < 1 ) and 0 ≤  s ∈ N the following inversion identity holds :

InfProd_4020.png

LerchPhi and PolyLog display a similar (alternating with s) scheme in their real and imaginary parts :

InfProd_4021.png

InfProd_4022.png

InfProd_4023.png

InfProd_4024.png

InfProd_4025.png

InfProd_4026.png

InfProd_4027.png

InfProd_4028.png

The lowest Bernoulli and Euler Polynomials are

BernoulliB EulerE
InfProd_4029.png InfProd_4030.png InfProd_4031.png
InfProd_4032.png InfProd_4033.png InfProd_4034.png
InfProd_4035.png InfProd_4036.png InfProd_4037.png
InfProd_4038.png InfProd_4039.png InfProd_4040.png
InfProd_4041.png InfProd_4042.png InfProd_4043.png
InfProd_4044.png InfProd_4045.png InfProd_4046.png

They are symmetric or antisymmetric (depending on n) with respect to x = 1/2 :

InfProd_4047.png

InfProd_4048.png

Connection to Bernoulli and Euler numbers :

InfProd_4049.png

Clausen functions and integral :

InfProd_4050.png

InfProd_4051.png

InfProd_4052.gif

InfProd_4053.png

InfProd_4054.png

InfProd_4055.png

InfProd_4056.png

InfProd_4057.png

Contributors :

(R1) Udo Ausserlechner, Infineon, per email

(R2) Professor Don Zagier, MPI für Mathematik, Bonn

(R3) Stephen, per email

(R4) Erik Vigren, IRF, Uppsala, per email

(R5) Mariusz Iwaniuk, Kobylany, near Terespol

Created with the Wolfram Language      Download Page    Indefinite Integrals     Definite Integrals